М
Молодежь
К
Компьютеры-и-электроника
Д
Дом-и-сад
С
Стиль-и-уход-за-собой
П
Праздники-и-традиции
Т
Транспорт
П
Путешествия
С
Семейная-жизнь
Ф
Философия-и-религия
Б
Без категории
М
Мир-работы
Х
Хобби-и-рукоделие
И
Искусство-и-развлечения
В
Взаимоотношения
З
Здоровье
К
Кулинария-и-гостеприимство
Ф
Финансы-и-бизнес
П
Питомцы-и-животные
О
Образование
О
Образование-и-коммуникации
polinavrn102
polinavrn102
01.07.2021 04:17 •  Математика

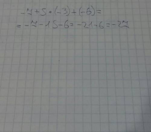
Найдите значение выражения -7+5×(-3)+(-6)​

👇
Ответ:
SosaLegor312lok
SosaLegor312lok
01.07.2021

на фото/%/%/%/%/%/=/=/


Найдите значение выражения -7+5×(-3)+(-6)​
4,6(47 оценок)
Ответ:
anya190804
anya190804
01.07.2021

в изображении всё видно)


Найдите значение выражения -7+5×(-3)+(-6)​
4,4(57 оценок)
Открыть все ответы
Ответ:

126

Пошаговое объяснение:

Чтобы решить эту задачу надо сложить равенства из условия задачи. Получится  

sinA+sinB+cosA+cosB=2

sinA+cosA+sinB+cosB=2

Вспомним область значения функции y=sin x. Это E(y)=[-1,1]. Если синус равен 0, то косинус равен 1. Но синус угла четырехугольника всегда больше 0. Если синус равен 1 то косинус равен 0, и сумма синуса и косинуса равна 1. Либо они оба меньше 1. Следовательно sinA+cosA не превосходит 1. Аналогично sinB+cosB не превосходит 1. Следовательно sinA+cosA+sinB+cosB не превосходит 2. Но мы доказали что оно равно 2 поэтому sinA должен быть равен 1 и sinB должен быть равен 1. Этот четырехугольник ABCD - на самом деле прямоугольная трапеция!  

Вычислим теперь угол D. Применим свойство трапеции: сумма внутренних односторонних углов при боковой стороне равна 180 градусов. Следовательно  

C+D=180

54+D=180

D=180-54

D=126

4,5(81 оценок)
Ответ:
tamerlana34ovwuq7
tamerlana34ovwuq7
01.07.2021

Пошаговое объяснение:

ответ: На координатной прямой все точки, расположенные правее точки 0, имеют положительные координаты (см. рисунок), а все точки, расположенные левее точки 0, имеют отрицательные координаты. Поэтому, для отмеченных точек верны неравенства: a < 0 и b > 0.

Находим точку х, для которой выполнены три условия:

1) x - a > 0 ⇔ x > a - точка х расположен правее точки а;

2) x - b > 0 ⇔ x > b > 0 - точка х расположен правее точки b;

3) a²·x > 0 (так как a < 0, то a² > 0) ⇔ x > 0, а это неравенство выполнено из-за условия 2): x > b > 0.

Поэтому достаточно отметит любую точку правее точки b.

4,4(87 оценок)
Это интересно:
Новые ответы от MOGZ: Математика
logo
Вход Регистрация
Что ты хочешь узнать?
Спроси Mozg
Открыть лучший ответ