М
Молодежь
К
Компьютеры-и-электроника
Д
Дом-и-сад
С
Стиль-и-уход-за-собой
П
Праздники-и-традиции
Т
Транспорт
П
Путешествия
С
Семейная-жизнь
Ф
Философия-и-религия
Б
Без категории
М
Мир-работы
Х
Хобби-и-рукоделие
И
Искусство-и-развлечения
В
Взаимоотношения
З
Здоровье
К
Кулинария-и-гостеприимство
Ф
Финансы-и-бизнес
П
Питомцы-и-животные
О
Образование
О
Образование-и-коммуникации
GreenBaguette
GreenBaguette
24.02.2020 03:10 •  Математика

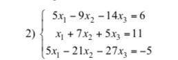
Решить систему уровненной тремя методами: 1) Методом Крамера; 2) матричным методом; 3) методом Гаусса


Решить систему уровненной тремя методами: 1) Методом Крамера; 2) матричным методом; 3) методом Гаусс

👇
Открыть все ответы
Ответ:
кама148
кама148
24.02.2020
Можно решить сложением:
  1+2+3+4+5+6+7+8+9+10+11+12=78  ударов часы сделают с часа дня до 12 ночи, отмечая часовые промежутки;
   Между 1 и 12 часами - 11 получасовых промежутков, значит часы сделают 11 ударов, отмечая полчаса;
     78+11=89 ударов всего часы сделают в заданный промежуток времени
Можно решить с нахождения суммы первых 12-и членов арифметической прогрессии:
     а₁=1 - 1 удар в час дня
     а₁₂=12 - 12 ударов в 12 часов ночи
     S₁₂=(a₁+a₁₂)/2*12
     S₁₂=(1+12)*6=78 - ударов сделают часы, отмечая часовые промежутки с 1 часа для до 12 часов ночи;
     11 получасовых промежутков между часом для и 12 часами ночи, значит часы сделают 11 ударов:
     78+11=89 ударов всего
ответ: 89 ударов

  
4,4(14 оценок)
Ответ:
zilga1
zilga1
24.02.2020
Примем массу общую первоначального раствора 450 г за 100%, тогда масса соды в растворе составляет х г или же 8%. Получим пропорцию, решив которую, узнаем массу соды в растворе:
450100%
х  8%
х= 450 * 8% : 100%= 36 г
Итак,  первоначально в растворе было 36 г соды, после добавления еще 10 г общая масса соды равна:
36+10=46 г
Кроме того, после добавления 10 г соды увеличилась и масса раствора:
450+10=460 г.
Примем массу раствора в 460 г за 100 %, а массу соды в 46 г за х %.
Получим пропорцию, решив которую узнаем новую концентрацию соды в растворе:
460100%
46х %
х= 46 * 100% : 460 = 10%
ответ: 10 %
4,5(65 оценок)
Это интересно:
Новые ответы от MOGZ: Математика
logo
Вход Регистрация
Что ты хочешь узнать?
Спроси Mozg
Открыть лучший ответ