М
Молодежь
К
Компьютеры-и-электроника
Д
Дом-и-сад
С
Стиль-и-уход-за-собой
П
Праздники-и-традиции
Т
Транспорт
П
Путешествия
С
Семейная-жизнь
Ф
Философия-и-религия
Б
Без категории
М
Мир-работы
Х
Хобби-и-рукоделие
И
Искусство-и-развлечения
В
Взаимоотношения
З
Здоровье
К
Кулинария-и-гостеприимство
Ф
Финансы-и-бизнес
П
Питомцы-и-животные
О
Образование
О
Образование-и-коммуникации
Daniil2263
Daniil2263
27.01.2022 13:47 •  Математика

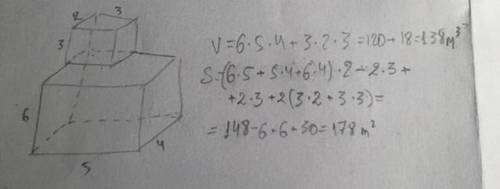
1. Из прямоугольных параллелепипедов составили фигуру так, как показано на рисунке. Найдите объём этой фигуры и площадь её поверхности.​


1. Из прямоугольных параллелепипедов составили фигуру так, как показано на рисунке. Найдите объём эт

👇
Ответ:
Kosty12541
Kosty12541
27.01.2022
1) Тело состоит из двух параллелепипедов
Размеры меньшего 3•2•3
Размеры большего 6•4•4

V = abc
Vм. = 3•2•3 = 18 кубических единиц - объем меньшего параллелепипеда.
Vб. = 6•4•5 = 120 кубических единиц - объем меньшего параллелепипеда.
V = Vм. + Vб.
V = 18 + 120 = 138 кубических единиц - объем тела.

2) Площадь поверхности тела равна сумме поверхностей его граней.
S = 2 • (ab + bc + ac)
Поскольку в верхнем меньшем параллелепипеде не учитывается одна нижняя грань, то
Sм. = 2•(2•3 + 3•3) + 2•3 =
= 2•(6 + 9) + 6 = 2•15 + 6 = 36 кв.единиц - площадь поверхности верхнего меньшего параллелепипеда без нижней грани.

В нижнем большом параллелепипеде учитывается только часть верхней грани.
S части верхней грани большего параллелепипеда = S верхней грани большего параллелепипеда - Sнижней грани меньшего параллелепипеда
Sчасти = 5•4 - 2•3 =
= 20 - 6 = 14 кв.единиц - площадь части верхней грани большего параллелепипеда.

Sб. = 2•(5•6 + 4•6) + 4•5 =
= 2•(30 + 24) + 20 = 2•54 • 20 = 128 кв.единиц - площадь поверхности нижнего большего параллелепипеда без верхней грани.

S = Sм. + Sб. + Sчасти
S = 36 + 128 + 14 = 178 кв.единиц - площадь поверхности тела, состоящего из двух параллелепипедов.

ответ: 138 куб.единиц; 178 кв.единиц.
4,7(32 оценок)
Ответ:
Anastasia5555633
Anastasia5555633
27.01.2022
ответ смотри на фото
1. Из прямоугольных параллелепипедов составили фигуру так, как показано на рисунке. Найдите объём эт
4,5(37 оценок)
Открыть все ответы
Ответ:
mamazomdi
mamazomdi
27.01.2022
Хорошие примеры : БонАква вода , вещь в картонной коробке .
Нам в большинстве случаев в глаз бросается красивая , яркая упаковка. Поэтому мы чаще обращаем внимание на такие упаковки , но как правило красивое - стоит дороже ! В каждую упаковку внесен художественный вклад .Я думаю , что красивая упаковка должна быть в каждом товаре , но при этом сам товар тоже должен быть хорошим . Но не нужно преувеличивать в оформлении , так как если много цветов , то это уж слишком . Самая лучшая реклама на мой взгляд , это когда показывают что-то интересное , как это пригодится в жизни и тд., а не много красок и ничего не понятно . Самая остроумная реклама , это наверное реклама когда показывают что эта вещь не принесет вред здоровью , и окружающей среде .
4,7(31 оценок)
Ответ:
Анндрейй
Анндрейй
27.01.2022
У алёнки  и светы  - 11конфет                                                                                  у алёнки и веры    -  12конфет                                                                                1 светы и веры     - 13конфет                                                                                  сколько - ?конфет                                                                                                                                                   решение с пояснением:                                            1)11+12=23                                                                                                                2)23-13=10                                                                                                                3)10+23-11+12=34     ответ:конфет у каждой девочки 34.
4,5(23 оценок)
Это интересно:
Новые ответы от MOGZ: Математика
Полный доступ к MOGZ
Живи умнее Безлимитный доступ к MOGZ Оформи подписку
logo
Вход Регистрация
Что ты хочешь узнать?
Спроси Mozg
Открыть лучший ответ