М
Молодежь
К
Компьютеры-и-электроника
Д
Дом-и-сад
С
Стиль-и-уход-за-собой
П
Праздники-и-традиции
Т
Транспорт
П
Путешествия
С
Семейная-жизнь
Ф
Философия-и-религия
Б
Без категории
М
Мир-работы
Х
Хобби-и-рукоделие
И
Искусство-и-развлечения
В
Взаимоотношения
З
Здоровье
К
Кулинария-и-гостеприимство
Ф
Финансы-и-бизнес
П
Питомцы-и-животные
О
Образование
О
Образование-и-коммуникации
дэнчик626
дэнчик626
11.03.2021 02:35 •  Математика

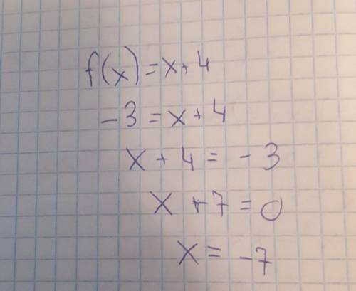
Функцію задано формулою f(x)=x+4,знайдіть значення аргументу ,при якому значення функції дорівнює -3 пишите с объяснениям​

👇
Ответ:
Max325t
Max325t
11.03.2021

Пошаговое объяснение:

Решение на фотографии


Функцію задано формулою f(x)=x+4,знайдіть значення аргументу ,при якому значення функції дорівнює -3
4,8(87 оценок)
Открыть все ответы
Ответ:
zvezda026
zvezda026
11.03.2021

составлено 18 букетов из тюльпанов, 25 букетов из гвоздик.

Пошаговое объяснение:

Схематический рисунок к задаче в прикрепленном файле.

По условию задачи из тюльпанов сделали на 7 букетов меньше, чем из гвоздик.

Значит из гвоздик сделали на 7 букетов больше, чем из тюльпанов. Причем в каждом букете одинаковое количество цветов.

Узнаем сколько гвоздик ушло на эти семь букетов.

125-90 = 35 (гвоздик) - потратили на 7 букетов.

35:7 = 5 (гвоздик) - в одном букете.

Значит в одном букете пять цветов.

125:5 = 25 (букетов) - сделано из гвоздик.

90:5 = 18 (букетов) - сделано из тюльпанов.


Вшкольной оранжерее старшеклассники вырастили 125 гвоздик и 90 тюльпанов. из этих цветов они состави
4,8(4 оценок)
Ответ:
smelinkova
smelinkova
11.03.2021
По действиям.
1) 125 - 90 = 35 (цветов) составляют  7 букетов
2) 35 :  7 =  5  (цветов) в одном букете
3) 125 :  5 = 25 (букетов) из  гвоздик
4) 90 : 5 =  18 (букетов) из тюльпанов.

Уравнение.
1) Пусть в каждом букете по n  цветов. 
Тогда из гвоздик получилось  (125/n ) букетов,
 а из тюльпанов  ( 90/n  ) букетов.
Зная, что из гвоздик составили на  7 букетов больше, составим уравнение:
(125/n)   -  (90/n) = 7
знаменатель ≠ 0  ⇒  n≠0
(125 - 90) / n  = 7
35/n = 7
n = 35/7
n= 5 (цветов) в одном букете
2) 125 :  5 = 25 (букетов) из гвоздик
3) 90 :  5 = 18 ( букетов ) из  тюльпанов

ответ:  25 букетов из гвоздик и 18 букетов из тюльпанов составили старшеклассники.
4,7(46 оценок)
Это интересно:
Новые ответы от MOGZ: Математика
logo
Вход Регистрация
Что ты хочешь узнать?
Спроси Mozg
Открыть лучший ответ