М
Молодежь
К
Компьютеры-и-электроника
Д
Дом-и-сад
С
Стиль-и-уход-за-собой
П
Праздники-и-традиции
Т
Транспорт
П
Путешествия
С
Семейная-жизнь
Ф
Философия-и-религия
Б
Без категории
М
Мир-работы
Х
Хобби-и-рукоделие
И
Искусство-и-развлечения
В
Взаимоотношения
З
Здоровье
К
Кулинария-и-гостеприимство
Ф
Финансы-и-бизнес
П
Питомцы-и-животные
О
Образование
О
Образование-и-коммуникации
Djəñįfəŕ
Djəñįfəŕ
29.05.2020 02:35 •  Математика

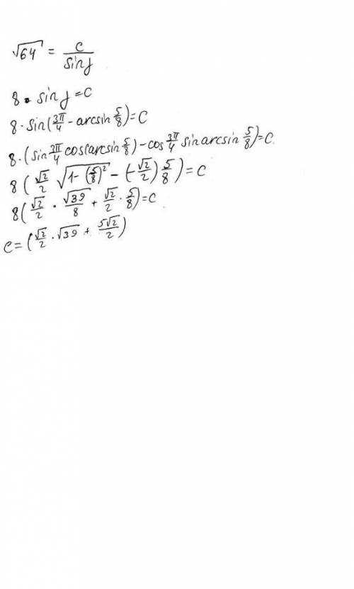
Две стороны треугольника равны 3√2 и 5 см. а угол против большей из них - 45°
найдите третью сторону​

👇
Ответ:
sait14
sait14
29.05.2020

вот решение, надеюсь


Две стороны треугольника равны 3√2 и 5 см. а угол против большей из них - 45°найдите третью сторону​
Две стороны треугольника равны 3√2 и 5 см. а угол против большей из них - 45°найдите третью сторону​
Две стороны треугольника равны 3√2 и 5 см. а угол против большей из них - 45°найдите третью сторону​
4,6(96 оценок)
Ответ:
zeynab97
zeynab97
29.05.2020

7

Пошаговое объяснение:

.........................


Две стороны треугольника равны 3√2 и 5 см. а угол против большей из них - 45°найдите третью сторону​
4,6(9 оценок)
Открыть все ответы
Ответ:
airflash1372
airflash1372
29.05.2020

ответ:

 

решение уравнений

решение обычных уравнений

с подробным решением:

обычное уравнение с неизвестной x

дифференциальные уравнения

квадратные уравнения

с быстрым решением:

выражений

решение уравнения онлайн

вы учитесь? тогда данные сервисы должны хоть как-то вам . решение уравнений онлайн позволяет быть уверенным в правильности решения уравнения.

в каждом из разделов различные виды способов для вам. правила ввода уравнений везде читайте и должно получиться.

вообще этот сделан только для вам. вы должны сами научиться решать уравнения - это пригодится в жизни ( по жизни мыслить логически в финансовых, и инженерных вопросах)

данный сервис позволяет проверить свои решения на правильность

любые обычные уравнения

решение обычных уравнений

это он-лайн сервис в один шаг:

ввести уравнение с неизвестным x

перейти: "решение обычных уравнений с ответом" →

любые дифференциальные уравнения

дифференциальные уравнения онлайн

пошаговое объяснение:

4,8(66 оценок)
Ответ:
karalina200215
karalina200215
29.05.2020

смотри, вот то значение, которое больше, в данном случае это будет 4см и 5мм, вот это пусть будет ширина прямоугольника. то есть рисуем палочку, длина которой будет 4см 5 мм. так, теперь рисуем другую палочку, которая отходит справа от ширины. ну, вот например прямоугольник. стороны справа и слева, то есть палочки, которые написаны справа и слева, они будут 2 см 5 мм. а палочки, которые сверху и снизу, в устройстве прямоугольника, они будут 4см 5 мм. просто построить прямоугольник, его правая и левая стороны будут 2см 5мм, а верхние и нижние стороны будут 4см 5мм. а формула периметра: (а+в) х 2. надо прибавить 2см 5мм к 4см 5мм и умножить на два. таким образом у нас получается: 14

4,6(30 оценок)
Это интересно:
Новые ответы от MOGZ: Математика
logo
Вход Регистрация
Что ты хочешь узнать?
Спроси Mozg
Открыть лучший ответ