
1)86+71=157 км\час скорость сближения
157*9=1413 км между городами
2)Ширина - 44:4=11дм
Площадь - 44*11=484дм в квадрате
Периметр - 44*2 и 11*2=88+22=110дм
3)калькулятор, не?
4)Масса тигра 320 (кг)
1. 70 (кг) - разница масс тигра и льва
2. 570 (кг) - масса тигра и льва
3. (570-70):2 (кг) =250 (кг) - масса льва
4. 250 + 70 = 320 (кг) - масса тигра
Пошаговое объяснение:
3*3=9 м2 - площадь стены
30*20 = 600 см2 - площадь 1 плитки
9 м2 = 90000 см2
90000 / 600 = 15 плиток - потребуется
ответ. 15 плиток-вот так мб
1)86+71=157 км\час скорость сближения
157*9=1413 км между городами
2)Ширина - 44:4=11дм
Площадь - 44*11=484дм в квадрате
Периметр - 44*2 и 11*2=88+22=110дм
3)калькулятор, не?
4)Масса тигра 320 (кг)
1. 70 (кг) - разница масс тигра и льва
2. 570 (кг) - масса тигра и льва
3. (570-70):2 (кг) =250 (кг) - масса льва
4. 250 + 70 = 320 (кг) - масса тигра
Пошаговое объяснение:
3*3=9 м2 - площадь стены
30*20 = 600 см2 - площадь 1 плитки
9 м2 = 90000 см2
90000 / 600 = 15 плиток - потребуется
ответ. 15 плиток-вот так мб
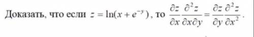
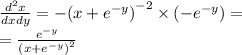
подставляем в равенство: