М
Молодежь
К
Компьютеры-и-электроника
Д
Дом-и-сад
С
Стиль-и-уход-за-собой
П
Праздники-и-традиции
Т
Транспорт
П
Путешествия
С
Семейная-жизнь
Ф
Философия-и-религия
Б
Без категории
М
Мир-работы
Х
Хобби-и-рукоделие
И
Искусство-и-развлечения
В
Взаимоотношения
З
Здоровье
К
Кулинария-и-гостеприимство
Ф
Финансы-и-бизнес
П
Питомцы-и-животные
О
Образование
О
Образование-и-коммуникации
marimoguardp0c9eu
marimoguardp0c9eu
13.06.2020 00:07 •  Математика

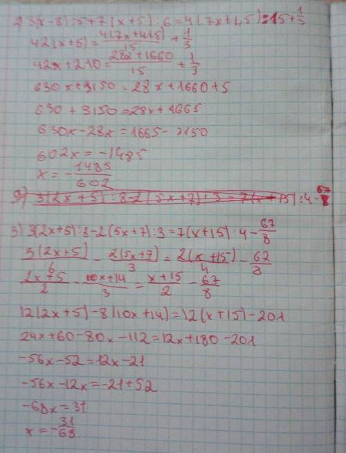
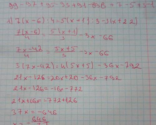
решите уравнения 1) 7(х-6)/4=5(х+1)/3-3(х+2 2) 3(х-8)/5+7(х+5)/6=4(7х+1,5)/15+1/3 3) 3(2х+5)/8-2(5х+7)/3=7(х-15)/4-67/8 ответ ​

👇
Ответ:
Полинка490
Полинка490
13.06.2020

Привет! Вот ответ на твой вопрос


решите уравнения 1) 7(х-6)/4=5(х+1)/3-3(х+2 2) 3(х-8)/5+7(х+5)/6=4(7х+1,5)/15+1/3 3) 3(2х+5)/8-2(5х+
решите уравнения 1) 7(х-6)/4=5(х+1)/3-3(х+2 2) 3(х-8)/5+7(х+5)/6=4(7х+1,5)/15+1/3 3) 3(2х+5)/8-2(5х+
4,8(79 оценок)
Открыть все ответы
Ответ:
Нармин59
Нармин59
13.06.2020

о круто :0

Пошаговое объяснение

Пришли к нам из Европы и прочно заняли место, как и блины на дрожжах. Тонкие блинчики на молоке с дырочками имеют свою категорию во Французской кулинарии. Там их наполняют начинками и называют крепы. Рецепт приготовления тонких блинчиков на молоке состоит из традиционных продуктов, которые найдутся на кухне у любой хозяйки. Отличается от остальных данный рецепт лишь тем, что белок и желток мы будем добавлять в тесто по отдельности, а также добавим ванильный сахар, который придаст блюду изысканный аромат ванили. Обычно яйца кладут целиком, но мы отделим желток от белка. Кроме того, особенность данного варианта приготовления заключается в том, что даже первый блин получается красивым и ровным. Попробуйте приготовить блины на молоке, вам точно понравится!

4,5(18 оценок)
Ответ:
mokeevayulichk48
mokeevayulichk48
13.06.2020

ответ: 3125 пятизначных  чисел

Пошаговое объяснение:

Х может быть 1, 2, 3, 4, 5 --- цифры в пятизначном числе могут повторятся.

Главное:

Первую цифру Х₁ пятизначного числа можно выбрать пятью так как выбираем из чисел 1, 2, 3, 4, 5), 

вторую цифру - Х₂ пятизначного  числа можно выбрать пятью выбираем из чисел 1, 2, 3, 4, 5 и они могут повторятся)

третью цифру -  Х₃ пятизначного  числа можно выбрать пятью выбираем из чисел 1, 2, 3, 4, 5)

четвертую цифру - Х₄ пятизначного  числа можно выбрать пятью выбираем из чисел 1, 2, 3, 4, 5)

пятую цифру - Х₅ пятизначного  числа можно выбрать пятью выбираем из чисел 1, 2, 3, 4, 5)

По правилу умножения (известное в комбинаторике правило) умножаем все для выбора цифр,

получаем 5*5*5*5*5 = 3125 пятизначных  чисел.

4,5(16 оценок)
Это интересно:
Новые ответы от MOGZ: Математика
logo
Вход Регистрация
Что ты хочешь узнать?
Спроси Mozg
Открыть лучший ответ