М
Молодежь
К
Компьютеры-и-электроника
Д
Дом-и-сад
С
Стиль-и-уход-за-собой
П
Праздники-и-традиции
Т
Транспорт
П
Путешествия
С
Семейная-жизнь
Ф
Философия-и-религия
Б
Без категории
М
Мир-работы
Х
Хобби-и-рукоделие
И
Искусство-и-развлечения
В
Взаимоотношения
З
Здоровье
К
Кулинария-и-гостеприимство
Ф
Финансы-и-бизнес
П
Питомцы-и-животные
О
Образование
О
Образование-и-коммуникации
leryn1999
leryn1999
29.07.2022 22:51 •  Математика

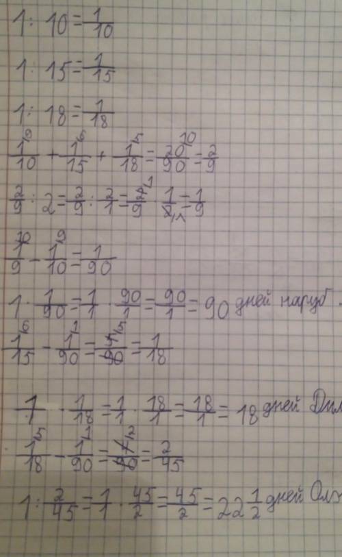
4. Олжас и Дима нарубят дрова на зиму за 10 дней, Дима и Антон за 15дней, а Олжас и Антон -за 18 дней. За сколько дней они нарубят дрова если будут работать вместе? (в ответе записываете только число) * ​

👇
Ответ:
yernur2207
yernur2207
29.07.2022

Вот держи..у меня 5...отметь как лучший я старался


4. Олжас и Дима нарубят дрова на зиму за 10 дней, Дима и Антон за 15дней, а Олжас и Антон -за 18 дне
4,4(44 оценок)
Открыть все ответы
Ответ:
Sunnnygirl289
Sunnnygirl289
29.07.2022
Б) Если первое число уменьшить в 2 раза, то и частное уменьшится в 2 раза.
Если первое число увеличить в 2 раза, то и частное увеличится в 2 раза.
Конечно, в обоих случаях первая цифра частного изменится.
Если 1 число уменьшить в 10 раз, то 1 цифра частного не изменится, только запятая сдвинется на 1 позицию влево.
Если 1 число увеличить в 10 раз, то 1 цифра частного не изменится, только запятая сдвинется на 1 позицию вправо.
Если 2 число увеличить в 10 раз - это все равно, что 1 число уменьшить в 10 раз. Запятая сдвинется на 1 позицию влево.
Если оба числа одновременно уменьшить или увеличить в 10 раз, то ничего не изменится.
4,8(90 оценок)
Ответ:
Пупырка20001
Пупырка20001
29.07.2022
Числа кратные 5 оканчиваются на 0 или 5.
Узнаем количество чисел оканчивающихся на 5:
Из оставшихся чисел (0246) можно составить 3*3*2*1 = 18 четырехзначных чисел, используя каждую из них не более одного раза (0 в начале не может стоять). Добавляя в конце 5, получим 18 пятизначных чисел заканчивающихся на 5 (кратных 5).

Узнаем количество чисел оканчивающихся на 0:
Из оставшихся чисел (2456) можно составить 4*3*2*1 = 24 четырехзначных числа. Добавляя в конце 0, получим 24 пятизначных числа заканчивающихся на 0 (кратных 5).

Итого можно составить 18 + 24 = 42 числа кратных 5 из цифр 60452, используя каждую из них не более одного раза
4,7(59 оценок)
Новые ответы от MOGZ: Математика
logo
Вход Регистрация
Что ты хочешь узнать?
Спроси Mozg
Открыть лучший ответ