М
Молодежь
К
Компьютеры-и-электроника
Д
Дом-и-сад
С
Стиль-и-уход-за-собой
П
Праздники-и-традиции
Т
Транспорт
П
Путешествия
С
Семейная-жизнь
Ф
Философия-и-религия
Б
Без категории
М
Мир-работы
Х
Хобби-и-рукоделие
И
Искусство-и-развлечения
В
Взаимоотношения
З
Здоровье
К
Кулинария-и-гостеприимство
Ф
Финансы-и-бизнес
П
Питомцы-и-животные
О
Образование
О
Образование-и-коммуникации
Likusy15
Likusy15
13.10.2020 20:39 •  Математика

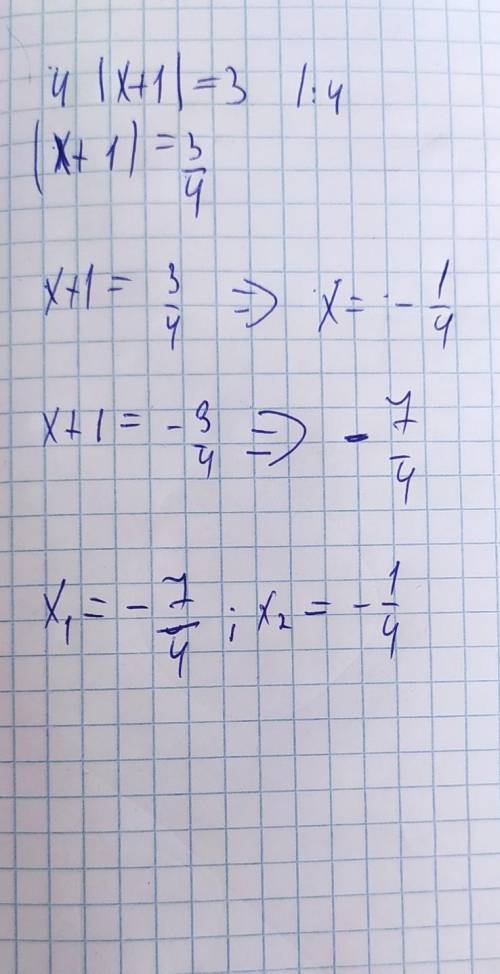
Решите уравнение ׀ 4х + 1 I =3​

👇
Ответ:
стеллаа
стеллаа
13.10.2020

два решения

х=-0,25 или х=-1,75

Пошаговое объяснение:

х+1=3/4 или х+1=-3/4

х=-1/4      или х=-1 3/4

4,7(33 оценок)
Ответ:

ответ на фото .Х= 1,2

но ашу


Решите уравнение ׀ 4х + 1 I =3​
4,5(90 оценок)
Открыть все ответы
Ответ:
kiraivanova777
kiraivanova777
13.10.2020
В 1222 монгольское войско под предводительством Джэбэ-нойона и Субэдэй-баатура  вторглось в половецкие степи. Половецкий хан Котян Сутоевич обратился к своему зятю, галицкому князю Мстиславу Мстиславичу Удалому и к другим русским князьям, прося у них против нового грозного врага: «Сегодня татары взяли нашу землю, а завтра и вашу полонят, если мы все дружно не встанем против них» . Северные русские удельные князья не откликнулись на его призыв, южные собрались в Киев на совет под главенством трёх великих князей: киевского Мстислава Романовича, галицкого Мстислава Мстиславича и черниговского Мстислава Святославича. После долгих уговоров Мстислава Удалого и щедрых подарков было решено, что «лучше встретить басурманов на половецкой земле, нежели на своей» . В совместном походе кроме трёх великих князей приняли участие: сын киевского князя Всеволод и сын черниговского — Василий, Даниил Романович Волынский, Михаил Всеволодович Переяславский, Владимир Рюрикович Смоленский, Олег Курский, Александр Туровский, Андрей Вяземский и др. со своими дружинами. Сбор был назначен на правом берегу Днепра, близ острова Хортица, недалеко от города Канева. Узнав о сборах, монголы прислали своих послов с такими словами: «Мы с Русью войны не хотим и на вашу землю не посягаем. Воюем мы с половцами, которые всегда были вашими врагами, а потому, если они бегут теперь к вам, — бейте их и забирайте себе их добро» . Выслушав послов, русские князья приказали всех их перебить. Это действие учитывало аналогичный опыт половцев, которые в 1222 году поддались на уговоры монгол нарушить свой союз с аланами, после чего Джебе разбил алан, а затем обрушился и на половцев.

Куликовская битва 1380 г. - важнейшее событие в истории средневековой Руси, во многом определившее дальнейшую судьбу Российского государства. Битва на Куликовом поле послужила началом освобождения Северо-Восточной Руси от ига Золотой Орды. Растущая мощь Московского княжества, усиление его авторитета среди русских княжеств, отказ Москвы платить дань стали основными причинами замысла правителя Золотой Орды Мамая по организации большого похода на Русь.
Невская битва  - битва на реке Неве между войсками новгородцев под командованием князя Александра Ярославича и шведскими войсками.
Александр Ярославович за победу в Невской битве был прозван Невским
4,6(35 оценок)
Ответ:
nastasiia1989
nastasiia1989
13.10.2020
В 1222 монгольское войско под предводительством Джэбэ-нойона и Субэдэй-баатура  вторглось в половецкие степи. Половецкий хан Котян Сутоевич обратился к своему зятю, галицкому князю Мстиславу Мстиславичу Удалому и к другим русским князьям, прося у них против нового грозного врага: «Сегодня татары взяли нашу землю, а завтра и вашу полонят, если мы все дружно не встанем против них» . Северные русские удельные князья не откликнулись на его призыв, южные собрались в Киев на совет под главенством трёх великих князей: киевского Мстислава Романовича, галицкого Мстислава Мстиславича и черниговского Мстислава Святославича. После долгих уговоров Мстислава Удалого и щедрых подарков было решено, что «лучше встретить басурманов на половецкой земле, нежели на своей» . В совместном походе кроме трёх великих князей приняли участие: сын киевского князя Всеволод и сын черниговского — Василий, Даниил Романович Волынский, Михаил Всеволодович Переяславский, Владимир Рюрикович Смоленский, Олег Курский, Александр Туровский, Андрей Вяземский и др. со своими дружинами. Сбор был назначен на правом берегу Днепра, близ острова Хортица, недалеко от города Канева. Узнав о сборах, монголы прислали своих послов с такими словами: «Мы с Русью войны не хотим и на вашу землю не посягаем. Воюем мы с половцами, которые всегда были вашими врагами, а потому, если они бегут теперь к вам, — бейте их и забирайте себе их добро» . Выслушав послов, русские князья приказали всех их перебить. Это действие учитывало аналогичный опыт половцев, которые в 1222 году поддались на уговоры монгол нарушить свой союз с аланами, после чего Джебе разбил алан, а затем обрушился и на половцев.

Куликовская битва 1380 г. - важнейшее событие в истории средневековой Руси, во многом определившее дальнейшую судьбу Российского государства. Битва на Куликовом поле послужила началом освобождения Северо-Восточной Руси от ига Золотой Орды. Растущая мощь Московского княжества, усиление его авторитета среди русских княжеств, отказ Москвы платить дань стали основными причинами замысла правителя Золотой Орды Мамая по организации большого похода на Русь.
Невская битва  - битва на реке Неве между войсками новгородцев под командованием князя Александра Ярославича и шведскими войсками.
Александр Ярославович за победу в Невской битве был прозван Невским
4,4(18 оценок)
logo
Вход Регистрация
Что ты хочешь узнать?
Спроси Mozg
Открыть лучший ответ