М
Молодежь
К
Компьютеры-и-электроника
Д
Дом-и-сад
С
Стиль-и-уход-за-собой
П
Праздники-и-традиции
Т
Транспорт
П
Путешествия
С
Семейная-жизнь
Ф
Философия-и-религия
Б
Без категории
М
Мир-работы
Х
Хобби-и-рукоделие
И
Искусство-и-развлечения
В
Взаимоотношения
З
Здоровье
К
Кулинария-и-гостеприимство
Ф
Финансы-и-бизнес
П
Питомцы-и-животные
О
Образование
О
Образование-и-коммуникации
Studennmb1
Studennmb1
17.09.2020 15:54 •  Математика

Решите уравнение дифференциальное


Решите уравнение дифференциальное

👇
Ответ:
virki2018
virki2018
17.09.2020

это линейное ДУ

Замена:

y = ux \\ y' = u'x + u

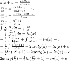
u'x + u = \frac{x + 2ux}{2x - ux} \\ \frac{du}{dx} x = \frac{x(1 + 2u)}{x(2 - u)} - u \\ \frac{du}{dx} x = \frac{1 + 2u - u(2 -u )}{2 - u} \\ \frac{du}{dx} x = \frac{ {u}^{2} +1 }{2 - u} \\ \int\limits \frac{2 - u}{ {u}^{2} + 1} du = \int\limits \frac{dx}{x} \\ -\int\limits \frac{u - 2}{ {u}^{2} + 1} du = ln(x) + c \\ - \frac{1}{2} \int\limits \frac{2udu}{1 + {u}^{2} } + \int\limits \frac{2du}{u ^{2} + 1 } = ln(x) + c \\ - \frac{1}{2} \int\limits \frac{d(u ^{2} + 1) } {u ^{2} + 1 } + 2arctg(u) = ln(x) + c \\ - \frac{1}{2} ln(u ^{2} + 1 ) + 2arctg(u) = ln(x) + c \\ 2arctg( \frac{y}{x} ) - \frac{1}{2} ln( \frac{ {y}^{2} }{ {x}^{2} } + 1 ) = ln(x) + c

общее решение

4,5(26 оценок)
Открыть все ответы
Ответ:
qwejajka
qwejajka
17.09.2020
Баскетбол (от . basket — корзина, ball — мяч) – олимпийский вид спорта, спортивная командная игра с мячом, цель  в которой — забросить мяч в корзину соперника большее число раз, чем это сделает команда соперника в установленное время. каждая команда состоит из 5 полевых игроков. возникновения и развития баскетбола. в 1891 году в соединенных штатах америки молодой преподаватель, уроженец канады, доктор джеймс  нейсмит, пытаясь “оживить” уроки по гимнастики, прикрепил две корзины из-под фруктов к перилам и предложил забрасывать туда футбольные мячи. получившаяся игра лишь отдаленно напоминала современный баскетбол. ни о каком ведении даже речи не шло, игроки перекидывали мяч друг другу и затем пытались закинуть его в корзину. побеждала команда, забросившая большее количество мячей. через год нейсмит разработал первые правила игры в баскетбол. первые же матчи по этим правилам вызвали и первые их изменения. постепенно баскетбол из сша проник сначала на восток – японию, китай, филиппины, а потом в европу и южную америку. через 10 лет на олимпийских играх в сент-луисе американцы организовали показательный тур между нескольких городов. в 1946 году возникла баскетбольная ассоциация америки (бaa). первый матч под её эгидой состоялся 1 ноября того же года в торонто между toronto huskies и new york knickerbockers. в 1949 году, ассоциация объединилась с национальной баскетбольной лигой сша, в результате чего была образована национальная баскетбольная ассоциация (nba). в 1967 году, была создана американская баскетбольная ассоциация, которая долгое время пыталась составить конкуренцию nba, но спустя 9 лет объединилась с ней. на сегодняшний день nba является одной из наиболее влиятельных и известных профессиональных баскетбольных лиг в мире. в 1932 году основана международная федерация любительского баскетбола. в состав  федерации вошли 8 стран: аргентина, греция, италия, латвия, португалия, румыния. швеция, чехословакия. исходя из названия, предполагалось, что организация  будет возглавлять только любительский баскетбол, однако, в 1989 году, профессиональные баскетболисты получили допуск к международным соревнованиям, и слово «любительский» было изъято из наименования. самый первый международный матч состоялся в 1904 году, а в 1936 году баскетбол попал в программу летних олимпийских игр.
4,5(53 оценок)
Ответ:
valeriya210322
valeriya210322
17.09.2020
Гидротехническая авария — это чрезвычайная ситуация, связанная с выходом из строя (разрушением) гидротехнического сооружения или его части и перемещением больших масс воды, несущих разрушения и затопления обширных территорий. последствия: повреждения и разрушения гидротехнических сооружений, кратковременное или долговременное прекращение выполнения ими своих функций; поражение людей и разрушение сооружений волной прорыва, образовавшейся в результате разрушения гидротехнического сооружения и имеющей высоту от 2 до 12 м и скорость движений от 3 до 25 км/ч (в горных районах может доходить до 100 км/ч); катастрофическое затопление обширных территорий и значительного количества городов и сел, объектов , длительное прекращение судоходства, сельскохозяйственного и рыбопромыслового производства.
4,6(44 оценок)
Это интересно:
Новые ответы от MOGZ: Математика
logo
Вход Регистрация
Что ты хочешь узнать?
Спроси Mozg
Открыть лучший ответ