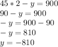
Примем объем всей работы по вспахиванию поля за 1. Пусть х поля в час - производительность 1-го трактора, тогда 3х поля в час - производительность 2-го трактора. При совместной работе производительность равна (х + 3х) поля в час. По условию все поле совместно вспахано за 8 ч. Получим уравнение 8(х + 3х ) = 1 32х = 1 х = Значит, поля в час - производительность 1-го трактора. Тогда поля в час - производительность 2-го трактора. За 5 ч первым трактором будет вспахано поля. Тогда остальная часть поля составит поля. Второму трактору потребуется ч. ответ: 9 ч.
Любовь нужна чтобы меняться в лучшую сторону. Любовь - это сильное чувство, сильнее чем жизнь и смерть. Настоящей сильной, чистой, взаимной любви дано испытать не каждому, лишь те кто испытал это чувство на 100%понимают любовь может сделать человека сильным, когда это чувство взаимно, ты можешь свернуть горы ради любимого, а может сделать тебя слабым - это когда один перестает любить другого, тогда ты испытываешь такую ломку сильнее чем от всех наркотиках. И тут перед человеком встает выбор: отдаться любви полностью на 100% испытывать моменты счастья и моменты боли от растований с любимым или закрыться от любви навсегда, забыть, что такое любовь, быть сильным и не испытывать боль никогда.

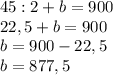
Проверка: