
При новой продуктивности рабочему потребуется 8 часов чтобы изготовить 10 деталей.
Пошаговое объяснение:
Задать вопрос
Войти
АнонимМатематика14 апреля 01:20
Рабочий за 8 часов изготавливает 64 детали за какое время он изготовит 80 деталий если за час будет изготавливать но
2 детали больше
ответ или решение1
Потапова Елизавета
Для решения задачи сперва находим продуктивность труда рабочего в первом случае.
Для этого необходимо разделить количество изготовленных деталей за 8 часов, а именно 64 на период времени за который они были изготовлены.
Получим.
64/8=8 деталей в час.
После этого находим новую продуктивность.
Для этого добавляем к полученному числу еще 2 детали.
8+2=10 деталей в час. Продуктивность рабочего если он будет изготавливать на 2 детали больше.
Находим период времени.
80/10=8 часов.
Пусть х израсходовано на пирог, тогда на печенье ушло х+200, а на пряники 3х
тогда все вместе:
х+3х+х+200=1кг400=1400гр
5х+200=1400
5х=1400-200=1200
х=1200:5=240 гр израсходовано на пирОг
240+200=440 гр на печенье
240*3=720 гр на пряники
Проверка: 720+440+240=1400
сообразила) берем по частям
Взято на пирог одна часть муки, на пряники 3 части, а на печенье одна часть и плюс 200 г у нас всего 5 частей плюс 200 гр. Избавляемся от них
1400-200=1200
1200:5= 240 - это одна наша часть, то есть пипирог на печенье ушло
200+240=440
а на пряники
240*3=720
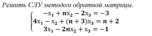
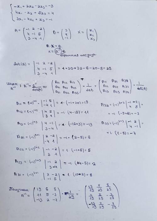
решение на фотографиях