М
Молодежь
К
Компьютеры-и-электроника
Д
Дом-и-сад
С
Стиль-и-уход-за-собой
П
Праздники-и-традиции
Т
Транспорт
П
Путешествия
С
Семейная-жизнь
Ф
Философия-и-религия
Б
Без категории
М
Мир-работы
Х
Хобби-и-рукоделие
И
Искусство-и-развлечения
В
Взаимоотношения
З
Здоровье
К
Кулинария-и-гостеприимство
Ф
Финансы-и-бизнес
П
Питомцы-и-животные
О
Образование
О
Образование-и-коммуникации
ishnlv
ishnlv
26.03.2023 21:12 •  Математика

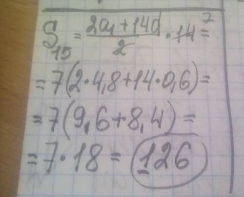
Дана арифметическая прогрессия (an). Известно, что a1=4,8 и d=0,6.
Вычисли сумму первых пятнадцати членов арифметической прогрессии.
Запиши ответ в виде числа, при необходимости округлив его до десятых:

👇
Ответ:
LiudaSerga2345
LiudaSerga2345
26.03.2023

решение на фотографии

,


Дана арифметическая прогрессия (an). Известно, что a1=4,8 и d=0,6. Вычисли сумму первых пятнадцати
4,5(99 оценок)
Открыть все ответы
Ответ:
valya414gogus
valya414gogus
26.03.2023
1)Дана ариф­ме­ти­че­ская про­грес­сия (аn): −6, −2, 2, … . Най­ди­те a16.
a₁=-6
d=-2-(-6)=4
а₁₆=a₁+d(n-1)=a₁+d*15=-6+15*4=54

2)Вы­пи­са­ны пер­вые не­сколь­ко чле­нов ариф­ме­ти­че­ской про­грес­сии: 3; 6; 9; 12;… Какое из сле­ду­ю­щих чисел есть среди чле­нов этой про­грес­сии?
d=6-3=3
an=a₁+d(n-1)=3+3(n-1)=3+3n-3=3n

а) 3n=83
n=83/3
n=27 2/3 не подходит

б) 95 
3n=95
n=95/3
n=31 2/3 не является членом
в) 100
3n=100
n=33 1/3 не является
г)102
3n=102
n=34 член прогрессии
ответ Г) 102 

3)Дана ариф­ме­ти­че­ская про­грес­сия (An) : -6; -3; 0 Най­ди­те сумму пер­вых де­ся­ти её чле­нов
d=0-(-3)=3
S₁₀=(2a₁+d*(10-1))/2*10=(2*(-6)+9*3)*5=(-12+27)*5=75

4)В пер­вом ряду ки­но­за­ла 30 мест, а в каж­дом сле­ду­ю­щем на 2 места боль­ше, чем в преды­ду­щем. Сколь­ко мест в ряду с но­ме­ром n?
a₁=30
d=2
an=a₁+d(n-1)=30+2(n-1)=30+2n-2=28+2n
ответ а)28+2n

5)Какое наи­мень­шее число по­сле­до­ва­тель­ных на­ту­раль­ных чисел, на­чи­ная с 1, нужно сло­жить, чтобы по­лу­чив­ша­я­ся сумма была боль­ше 378?
а₁=1
d=1
Sn=(2a₁+d*(n-1))/2*n=(2+n-1)/2*n>378
(1+n)/2*n>378
n²+n-756>0
D=1+4*756=55²
n₁=(-1+55)/2=27
n₂=(-1-55)/2=-28
(n+28)(n-27)>0
n∈(-∞; -28)∨(27; +∞)
Значит n=28 минимум - наименьшее количество натуральных чисел

6)Най­ди­те сумму всех от­ри­ца­тель­ных чле­нов ариф­ме­ти­че­ской про­грес­сии –7,2; –6,9; …
а1 = -7,2
d = -6,9 - (-7,2) = -6,9 + 7,2 = 0,3
an = a1 + (n - 1)*d
an = -7,2 + (n - 1)*0,3 = -7,2 + 0,3n - 0,3 = -7,5 + 0,3n
-7,5 + 0,3n < 0 
0,3n < 7,5
n < 25, значит отрицательных членов всего 24
Sn = (2*a1 + (n - 1)*d)*n/2
S₂₄ = (2* (-7,2) + 23*0,3)*24/2 = (-14,4 + 6,9)*12 = -7,5*12 = -90

7)Вы­пи­са­но не­сколь­ко по­сле­до­ва­тель­ных чле­нов ариф­ме­ти­че­ской про­грес­сии: …; 11; х ; –13; –25; … Най­ди­те член про­грес­сии, обо­зна­чен­ный бук­вой х.
d=-25-(-13)=-12
x=a₁+d=11-12=-1
4,7(94 оценок)
Ответ:
BooWim
BooWim
26.03.2023
1) 40832 + 400 = 41232 - ОТВЕТ А
2) 184+47=231 - ОТВЕТ В
3) 603-216=387 - ОТВЕТ Б
4) 207*43=8901 - ОТВЕТ Б
5) 20675:75=275 - ОТВЕТ В
6) нет знаков
7) нет знаков
8) 25*60=1500 - ОТВЕТ Г
9) 855:7=122 - ОТВЕТ В (125)
10) 36 : 1/4 = 144 - ОТВЕТ В
11) нет рисунка
12) 14670 - ОТВЕТ Б
13) 63х >601 - ОТВЕТ В
14) 6570 - ОТВЕТ А
15) 40:2 >30:3 - ОТВЕТ Г
16) треугольник - ОТВЕТ А
17) 100-95=5 - ОТВЕТ Б
18) нет
19) 24 км*2=48 км - ОТВЕТ В
20) 21:7=3 - ОТВЕТА
21)  5*9
22) 5, 15, 25 - ОТВЕТ Б
23) 1275:75=170(ост.7) - ОТВЕТ Г
24) 1000:100=10 - ОТВЕТ В
25) Х=114*52 - ОТВЕТ А
4,4(22 оценок)
Это интересно:
Новые ответы от MOGZ: Математика
logo
Вход Регистрация
Что ты хочешь узнать?
Спроси Mozg
Открыть лучший ответ