М
Молодежь
К
Компьютеры-и-электроника
Д
Дом-и-сад
С
Стиль-и-уход-за-собой
П
Праздники-и-традиции
Т
Транспорт
П
Путешествия
С
Семейная-жизнь
Ф
Философия-и-религия
Б
Без категории
М
Мир-работы
Х
Хобби-и-рукоделие
И
Искусство-и-развлечения
В
Взаимоотношения
З
Здоровье
К
Кулинария-и-гостеприимство
Ф
Финансы-и-бизнес
П
Питомцы-и-животные
О
Образование
О
Образование-и-коммуникации
yfyfhvfyf
yfyfhvfyf
28.12.2021 14:40 •  Математика

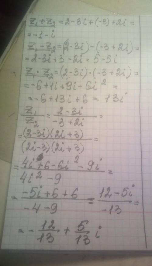
Z1=2-3i z2=-3+2i
Z1+z2
Z1-z2
Z1*z2
Z1/z2

👇
Ответ:
Dydina5555521
Dydina5555521
28.12.2021

решение на фотографии


Z1=2-3i z2=-3+2i Z1+z2 Z1-z2 Z1*z2 Z1/z2
4,8(29 оценок)
Открыть все ответы
Ответ:
maximstrekalovs
maximstrekalovs
28.12.2021
Королевская кобра может вертикально выпрямиться на треть своей длины. Средняя длина кобры - четыре с половиной
метра. На сколько метров голова кобры возвысится над землей.
 метра
ответ голова кобры возвысится над землей на полтора метра

по проще:
Королевская кобра может вертикально выпрямиться на треть своей длины. Средняя длина кобры - четыре с половиной
метра. На сколько метров голова трех метровой кобры возвысится над землей.
3:3=1 метр.
ответ голова трех метровой кобры возвысится над землей на 1 метр.
4,7(27 оценок)
Ответ:
СвятаяSaints
СвятаяSaints
28.12.2021

17

Пошаговое объяснение:

Число делится на 2, если его последняя цифра четная, например 12 - последняя цифра 2

Число делится на 3, если сумма всех его цифр делится на 3. Например, 21 делится на 3, потому что: 2+1=3 делится на 3

Число делится на 6, если оно одновременно делится на 2 и делится на 3. То есть число делится на 6, если сумма всех цифр этого числа делится на 3 и последняя цифра этого числа делится на 2.

Итак,

среди числел от 1 до 50 делящиеся на 2: 25 штук, так как 50/2=25

среди числел от 1 до 50 делящиеся на 3: 16 штук, так как 50/3 = 16 с остатком

среди чисел от 1 до 50 делящиеся и на 2 и на 3: 50/6=8 штук с остатком

среди чисел от 1 до 50 не делящиеся ни на 2 ни на 3 равно:

50-(25+16-8)=17

4,8(67 оценок)
Новые ответы от MOGZ: Математика
logo
Вход Регистрация
Что ты хочешь узнать?
Спроси Mozg
Открыть лучший ответ