
В решении.
Пошаговое объяснение:
В 8:00 рейсовый автобус выехал из города А и поехал в сторону города Б со скоростью 64 км/ч. Доехав до города Б, он сразу же развернулся и поехал обратно. В 12:30 автобусу оставалось 22 км до города А. Сколько километров от одного города до другого? (Всё время движения автобус ехал с постоянной скоростью.)
Формула движения: S=v*t
S - расстояние v - скорость t – время
1) Найти время автобуса в пути:
12,5 - 8 = 4,5 (часа).
2) Найти расстояние, которое автобус проехал за это время:
S=v*t
S = 64 * 4,5=288 (км).
3) Добавить км, что осталось проехать:
288 + 22 = 310 (км).
Это двойное расстояние, найти расстояние между городами:
310 : 2 = 155 (км).
про CM Security на страже конфиденциальности Решение. Чтобы разделить 7 яблок на троих, не обязательно разрезать каждое яблоко. Можно сначала каждому раздать по 2 яблока и одно оставшееся разделить на три равные части. Тогда каждый ребенок должен получить 2 + 1/3 яблока. Сумму 2+1/3 принято записывать в виде 2 1/3без знака сложения. Читают, две целых одна третья.
Число 2 1/3 называют смешанным числом, или смешанной дробью, где число 2- целая часть смешанного числа, а число 1/3 – его дробная часть.
Число, состоящее из целой части и дробной части, называется смешанным числом.
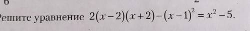
x=2
Пошаговое объяснение:
2(x^2-4)-(x^2-2x+1)=x^2-5
2x^2-8-x^2+2x-1=x^2-5
x^2-9+2x=x^2-5
2x=-5+9
2x=4
x=2