условие дано не вполне корректное, должно быть 3x^2-5x+2a=0
для того чтобы уравнение имело два корня необходимо что-бы дескриминант был больше 0, при этом т.к. оба корня должны быть положительными, то корень из дескриминант должен быть меньше 5
получаем в итоге
0< 25-4*3*2*a < 25
0< 25 - 24a < 25
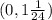
тривиально решив это неравенство получаем а принадлежит промежутку (0, 1+1/24)
ответ: 
3x^-5x+2a=0
1/3x^5 +2a=0
1/3x^5=-2a
3x^5 = -1/2a
x^5= -1/6a
видно что нет потому что корень любой положительной не дает отрицательный