М
Молодежь
К
Компьютеры-и-электроника
Д
Дом-и-сад
С
Стиль-и-уход-за-собой
П
Праздники-и-традиции
Т
Транспорт
П
Путешествия
С
Семейная-жизнь
Ф
Философия-и-религия
Б
Без категории
М
Мир-работы
Х
Хобби-и-рукоделие
И
Искусство-и-развлечения
В
Взаимоотношения
З
Здоровье
К
Кулинария-и-гостеприимство
Ф
Финансы-и-бизнес
П
Питомцы-и-животные
О
Образование
О
Образование-и-коммуникации
KeDres
KeDres
23.08.2021 17:32 •  Математика

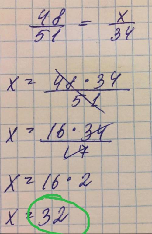
48/51= x/34
решите пропорцию​

👇
Ответ:
hfhfhfhffhhfdkdd
hfhfhfhffhhfdkdd
23.08.2021

х=(34*48)/51=1632/51=32

4,8(12 оценок)
Ответ:
vahovskayanp08tsj
vahovskayanp08tsj
23.08.2021

Подробно в файле, удачи

Пошаговое объяснение:


48/51= x/34 решите пропорцию​
4,6(48 оценок)
Открыть все ответы
Ответ:
VladGulevevatiy
VladGulevevatiy
23.08.2021

в объяснении

Пошаговое объяснение:

Вероятность попадения какой то команды в определенную группу равна 9\18=1\2. Мы знаем, что вероятность того, что у нас будет два события А одновременно равна А*А. У нас одновременно 5 событий А. Эта вероятность будет равна 1\2*1\2*1\2*1\2*1\2=1\32.

Это пункт а.

Б) Вероятность события, противоположного событию А равно 1-А.

В данном случае 1-1\2=1\2.

У нас происходит два события а и одновременно с этим происходит три обратных событию А события. То есть - (1\2)^5=1\32.

ПС. Выберите ответ лучшим

4,8(34 оценок)
Ответ:
barmeb11
barmeb11
23.08.2021

1) 3•4=12(км/год) — швидкість велосипедиста

2) 3•3+12•3=45 (км)

Відповідь: відстань між селищами 45 км.

1) 3•4=12(км/год) — швидкість велосипедиста

2) 3•3=9(км/год) — швидкість пішохода через 3 години

3) 12•3=36(км/год) — швидкість велосипедиста через 3 години

4) 9+36=45(км)

Відповідь: відстань між селищами 45 км.

Пошаговое объяснение:

3•4=12(км/год):

3 години це швидкість пішохода

4 години це означає що в 4 рази менше від швидкості велосипедиста

3•3=9 — швидкість пішохода через 3 години

12•3=36 — швидкість велосипедиста через 3 години

4,4(90 оценок)
Это интересно:
logo
Вход Регистрация
Что ты хочешь узнать?
Спроси Mozg
Открыть лучший ответ