М
Молодежь
К
Компьютеры-и-электроника
Д
Дом-и-сад
С
Стиль-и-уход-за-собой
П
Праздники-и-традиции
Т
Транспорт
П
Путешествия
С
Семейная-жизнь
Ф
Философия-и-религия
Б
Без категории
М
Мир-работы
Х
Хобби-и-рукоделие
И
Искусство-и-развлечения
В
Взаимоотношения
З
Здоровье
К
Кулинария-и-гостеприимство
Ф
Финансы-и-бизнес
П
Питомцы-и-животные
О
Образование
О
Образование-и-коммуникации
SmartFox1
SmartFox1
29.01.2022 10:09 •  Математика

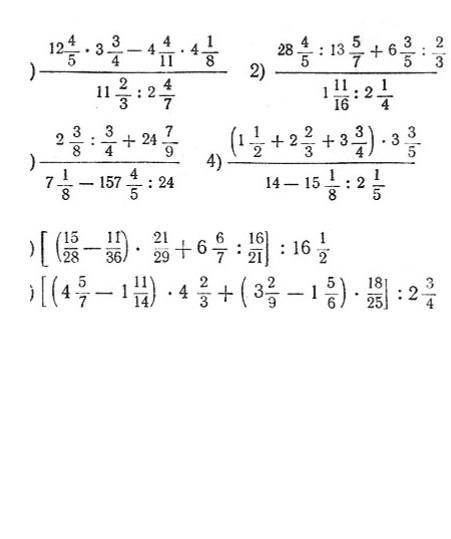
Решите примеры скрин есть​


Решите примеры скрин есть​

👇
Открыть все ответы
Ответ:
SledjeTV
SledjeTV
29.01.2022

1) при делении минус на минус даёт плюс(положительный ответ), значит -8:-4= 2;

2) если мы делим -12 на 2, то ответ будет -6, т.к. если разделить отрицательное число на положительное, то ответ будет отрицательным;

3)для удобства мы "избавляемся" от запятых, превращая данные числа в целые, т.е. 3424 делим на -160 = -21,4

4) для начала переводим смешанные дроби в неправильные, т.е. -1 целая три пятых = -8 пятых, а вторая дробь= -3 шестнадцатых. далее делим как обыкновенные дроби. Опять же, так как мы делим отриц число на отриц, ответ будет положительным. ответ=3 десятых, либо(десятичное число) 0,3.

надеюсь :)

4,7(86 оценок)
Ответ:
6•100+3•10= 600+30=630

1000-901= 99, значит 901+99=1000

4•9=36; 36-35=1, значит, 35+1=4•9

4800:600=8, значит, 4800 больше 600 в 8 раз

504•1000=504000

100000-2=99998

130+120=250; 130-120=10; 250•10=2500

4ц 08кг = 400 + 8 кг = 408 кг

6ц =600кг

60+60+40+40=200м - длина забора.

38600:100=386

3000-1= 2999 предшествует числу 3000

30•50 -50 = 150-50=100

34000:10=3400 - одна десятая числа 34000

165-92=73 - другое слагаемое.

720:6=120

240:6=40 - частное.

1 час=60 минут; 60-29=31 минута - разность

85:17=5 - частное

20•12=240 -?задуманное число. Проверим, 240:12=20
4,5(17 оценок)
Это интересно:
Новые ответы от MOGZ: Математика
logo
Вход Регистрация
Что ты хочешь узнать?
Спроси Mozg
Открыть лучший ответ