М
Молодежь
К
Компьютеры-и-электроника
Д
Дом-и-сад
С
Стиль-и-уход-за-собой
П
Праздники-и-традиции
Т
Транспорт
П
Путешествия
С
Семейная-жизнь
Ф
Философия-и-религия
Б
Без категории
М
Мир-работы
Х
Хобби-и-рукоделие
И
Искусство-и-развлечения
В
Взаимоотношения
З
Здоровье
К
Кулинария-и-гостеприимство
Ф
Финансы-и-бизнес
П
Питомцы-и-животные
О
Образование
О
Образование-и-коммуникации
nataliamakarov3
nataliamakarov3
21.03.2023 23:43 •  Математика

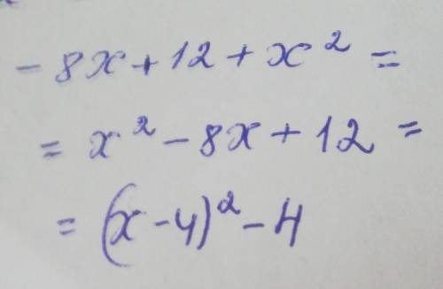
Выделите полный квадрат: -8x+12+x²

1)(x-4)²-4

2)(x-8)²-52

3)(x+8)²-52

4)(x+4)²-4​

👇
Ответ:
timca2014
timca2014
21.03.2023

Смотри решение на фото


Выделите полный квадрат: -8x+12+x²1)(x-4)²-42)(x-8)²-523)(x+8)²-524)(x+4)²-4​
4,8(28 оценок)
Открыть все ответы
Ответ:
freedomman87
freedomman87
21.03.2023
Это элементарно! 
Просто берёшь свой план и начинаешь - 1 Рыхлить. 
И рассказываешь что тебе понадобится, как ты это начинаешь делать что ты делаешь как закончил и плавным переходом типо (Вот Мы и закончили рыхлить землю пора внести удобрение. Для этого мне понадобится) или с красно строки написать (Теперь можно внести удобрение. Берём ) 
И так с каждым пунктом. В конце всё надо округлить к одной главной мысли. Можно так (Теперь в моём горшке самая ухоженная земля!) ( Теперь в горшке очень мягкая земля!) ( Люблю работать с землёй! Теперь мой цветочек будет расти в прекрасной почве!) А в начале можно сделать шапку вот такого плана ( Хочется посадить цветок, но не хочется чтоб он рос в неудобствах!) ( Почва в горшке с моим любимым цветком вовсе засохла, надо исправить ситуацию!!) ( Люблю ухаживать за растениями, особенно люблю ухаживать за почвой! Это так интересно.) В общем прояви фантазию! 
Желаю удачи в плавании по волнам выдумак!
4,6(58 оценок)
Ответ:
ксюша1707
ксюша1707
21.03.2023

Наибольшая цена за 1000 листов - в

1 упаковке (174,55руб.)

Пошаговое объяснение:

1уп. 1100 листов 192 руб.

2уп. 2500 листов 172 руб.

3уп. 3200 листов 103 руб.

4уп. 4500 листов 226 руб.

Считаем цену 1000 листов в каждой упа

ковке:

1)192:1100×1000=174,55 (руб.) в 1 упаковке.

192:1100×100=174,(54)=~174,55

(округляем с избытком до копеек)

2)172:2500×1000=68,8 (руб.) во 2 упаковке.

3)103:3200×1000=32,19 (руб.) в 3 упаковке.

103:3200×1000=32,1875=~32,19

(округляем с избытком до копеек)

4)226:4500×1000=50,23 (руб.) в 4 упаковке.

226:4500×1000=50,(2)=~50,23

(округляем с избытком до копеек).

1 упаковка: 174руб.55коп. за 1000 листов.

2упаковка: 68руб.80коп. за 1000 листов.

3упаковка: 32руб.19коп. за 1000 листов.

4упаковка: 50руб. 23коп. за 1000 листов.

4,7(66 оценок)
Это интересно:
Новые ответы от MOGZ: Математика
Полный доступ к MOGZ
Живи умнее Безлимитный доступ к MOGZ Оформи подписку
logo
Вход Регистрация
Что ты хочешь узнать?
Спроси Mozg
Открыть лучший ответ