
Доброта и правда сильнее гнева. Но, что бы проявить доброту тоже нужно быть сильным, ведь рассердиться очень лекго.
Например, твой друг взял у тебя какую-нибудь игрушку, но во время игры случайно поломал её. Многие просто набросились на него и начали ругать за это. И лишь не многие бы догадались, что он сделал это случайно и вовсе не хотел этого делать. Если ты не будешь его ругать, а встретишь добротой например скажешь: "Ничего страшного."-то он возможно даже и подарит тебе новую игрушку.
Если хочешь напиши от первого лица.
Р = 69
Пошаговое объяснение:
Дано: ABCD - трапеция, BC║AD; AB = CD;
BC = 12; AD = 27; ∠A = ∠D = 60° по св-ву р/б трапеции
Дополнительное построение: высоты BK и CM.
BCKM - прямоугольник, KM = BC = 12
ΔABK и ΔDCM - прямоугольные : ∠AKB = ∠DMC = 90°
AB = CD; ∠A = ∠D - по условию ⇒
ΔABK = ΔDCM по гипотенузе и острому углу ⇒
AK = MD = (AD - KM)/2 = (27 - 12)/2 = 7,5
ΔABK - прямоугольный, ∠AKB = 90° , AK = 7,5; ∠A = 60° ⇒
∠ABK = 90° - ∠A = 90° - 60° = 30°
Катет AK лежит против угла 30° ⇒ равен половине гипотенузы AB ⇒
AB = 2AK = 2*7,5 = 15 ⇒ CD = AB = 15
P = AB + BC + CD + AD = 15 + 12 + 15 + 27 = 69
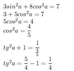
В скриншоте ниже приложил ответ и объяснение.