М
Молодежь
К
Компьютеры-и-электроника
Д
Дом-и-сад
С
Стиль-и-уход-за-собой
П
Праздники-и-традиции
Т
Транспорт
П
Путешествия
С
Семейная-жизнь
Ф
Философия-и-религия
Б
Без категории
М
Мир-работы
Х
Хобби-и-рукоделие
И
Искусство-и-развлечения
В
Взаимоотношения
З
Здоровье
К
Кулинария-и-гостеприимство
Ф
Финансы-и-бизнес
П
Питомцы-и-животные
О
Образование
О
Образование-и-коммуникации
sergogocer
sergogocer
22.12.2022 04:37 •  Математика

НОМЕР решите!
ПОДРОБНО.
Если вы напишите на листке я буду вам очень благодарна.. мне нужно!


НОМЕР решите! ПОДРОБНО. Если вы напишите на листке я буду вам очень благодарна.. мне нужно!

👇
Ответ:
annymayy0
annymayy0
22.12.2022

Пошаговое объяснение:


НОМЕР решите! ПОДРОБНО. Если вы напишите на листке я буду вам очень благодарна.. мне нужно!
4,8(87 оценок)
Ответ:
rakhmanets
rakhmanets
22.12.2022

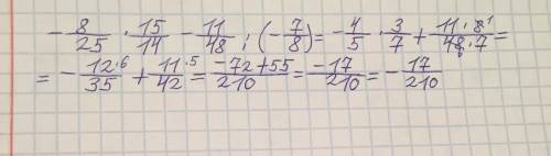
ответ:ответ на фото

Пошаговое объяснение:


НОМЕР решите! ПОДРОБНО. Если вы напишите на листке я буду вам очень благодарна.. мне нужно!
4,6(48 оценок)
Открыть все ответы
Ответ:
Belcard
Belcard
22.12.2022
5/9 > 4/9
1 номер
5/9 > 4/9
1/8 < 7/8
2/5 < 3/5
2/7 < 6/7
2 номер
11/19 > 7/19
17/38 < 23/38
4/51 < 23/51
23/100 < 67/100
Там где цифра больше к знаменателю то и больше.
3 номер
1/4-правильная
5/3-правильная
3/4-правильная
4/6-правильная
8/8-не правильная
23/22-не правильная
209/999-правильная
Правильная дробь если числитель меньше знаменателя а если числитель больше знаменателя значит дробь не правильная.
4 номер
5/9-меньше 1
4/3-меньше 1
8/13-меньше 1
17/9-равно 1
81/79-больше 1
7/7-меньше 1
2/9-меньше 1
51/90-больше 1
42/42-больше 1
1/19-меньше 1
4,6(96 оценок)
Ответ:
blvckbubblegum
blvckbubblegum
22.12.2022
Har kim o'qimishli bo'lishni, ko'proq narsani bilishni, ko'proq narsani amalga oshirishni xohlaydi. ammo ilm yo'li oson emas, sabr-bardosh va qat'iyat talab qiladi. va har bir ishni mukofotlashadi. xo'sh, inson uchun bilim nimaga muhtoj? avvalo, kasbni egallash va o'zingiz yoqtirgan narsani bajarish uchun bilim kerak, chunki bilimsiz siz yaxshi mutaxassis bo'la olmaysiz va jamiyat uchun foydali bo'lmaydi. har tomonlama rivojlangan inson bilan muloqot qilish juda yoqimli. ko'p o'qigan odamlar bilan suhbatlashish qiziq. bunday kishilar yaxshi gapirishga loyiq emas, pushkin ta'kidlashicha, o'qish eng yaxshi o'qitishdir. ma'lumot insonni bezatadi, ular buyuk ijodiy kuchdir. ammo axloqsiz odamlarning qo'lidagi ma'lumot dahshatli quroldir. eng muhimi, eng o'qimishli muhandis buchenwaldda o'lim mashinasini yaratdi, eng bilimdon, bilimdon kimyochi va biologlar biologik qurollarni kashf etdilar. tarixda chuqur va keng qamrovli (va ba'zan ensiklopediya) bilimlarga ega bo'lgan kishilar yuksak darajalarga erishganiga misollar mavjud. bibliya shohi sulaymon xudoning yagona foyda olishini so'radi. buning uchun unga hamma narsa beriladi: boylik, donolik, sevgi, uzoq umr.
4,4(82 оценок)
Это интересно:
Новые ответы от MOGZ: Математика
logo
Вход Регистрация
Что ты хочешь узнать?
Спроси Mozg
Открыть лучший ответ