М
Молодежь
К
Компьютеры-и-электроника
Д
Дом-и-сад
С
Стиль-и-уход-за-собой
П
Праздники-и-традиции
Т
Транспорт
П
Путешествия
С
Семейная-жизнь
Ф
Философия-и-религия
Б
Без категории
М
Мир-работы
Х
Хобби-и-рукоделие
И
Искусство-и-развлечения
В
Взаимоотношения
З
Здоровье
К
Кулинария-и-гостеприимство
Ф
Финансы-и-бизнес
П
Питомцы-и-животные
О
Образование
О
Образование-и-коммуникации
serikovvlad19
serikovvlad19
24.12.2021 01:25 •  Математика

Запишите в виде произведения:​


Запишите в виде произведения:​

👇
Ответ:
AlexeyVT
AlexeyVT
24.12.2021

1)\ \ (1-cosa)+sina=2sin^2\dfrac{a}{2}+2\, sin\dfrac{a}{2}\cdot cos\dfrac{a}{2}=2\, sin\dfrac{a}{2}\cdot (sin\dfrac{a}{2}+cos\dfrac{a}{2})=\\\\\\=2\, sin\dfrac{a}{2}\cdot \sqrt2\, cos\Big(\dfrac{a}{2}-\dfrac{\pi}{4}\Big)\\\\\\2)\ \ 1-2\, cosa+cos2a=(1+cos2a)-2cosa=2cos^2a-2cosa=2\, cosa\, (cosa-1)=\\\\=-2\, cosa\, (1-cosa)=-2\, cosa\cdot 2sin^2\dfrac{a}{2}=-4\, cosa\cdot sin^2\2\dfrac{a}{2}\\\\\\3)\ \ 1+sina-cosa-tga=1+sina-cosa+\dfrac{sina}{cosa}=

=\dfrac{cosa+sina\cdot cosa-cos^2a-sina}{cosa}=\dfrac{(cosa-sina)+cosa\, (sina-cosa)}{cosa}=\\\\=\dfrac{(cosa-sina)(1-cosa)}{cosa}=\dfrac{(cosa-sina)\cdot 2sin^2\frac{a}{2}}{cosa}=\dfrac{\sqrt2\, sin(\frac{\pi}{4}-a)\cdot 2sin^2\frac{a}{2}}{cosa}=\\\\=2\sqrt2\cdot sin^2\dfrac{a}{2}\cdot sin\Big(\dfrac{\pi}{4}-a\Big)\cdot seca\\\\\star \ \ \dfrac{1}{cosa}=seca\ \ \star

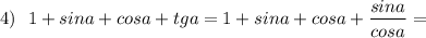
4)\ \ 1+sina+cosa+tga=1+sina+cosa+\dfrac{sina}{cosa}=

=\dfrac{cosa+sina\cdot cosa+cos^2a+sina}{cosa}=\dfrac{(cosa+sina)+cosa\, (sina+cosa)}{cosa}=\\\\=\dfrac{(sina+cosa)(1+cosa)}{cosa}=\dfrac{(sina+cosa)\cdot 2cos^2\frac{a}{2}}{cosa}=\dfrac{\sqrt2\, cos(a-\frac{\pi}{4})\cdot 2cos^2\frac{a}{2}}{cosa}=\\\\=2\sqrt2\cdot cos^2\dfrac{a}{2}\cdot cos\Big(a-\dfrac{\pi}{4}\Big)\cdot seca

4,8(43 оценок)
Открыть все ответы
Ответ:
spaceman666
spaceman666
24.12.2021
1) нужно из каждого пакета взять кольца в последовательности из 1-го взять одно кольцо,из 2-го взчть 2 кольца из 3-го три из 4-го четыри. всего взято(1+2+3+4=10)
2)взятые кольца взвесить. кольца по 7г дают значение кратное 7,т.е.1*7=7, 2*7=14, 3*7=21, 4*7=28. по этим значен.определяют в каком пакете кольца по 7 г. массп колец по 10г кратна 10. если после взвешивиния получилась масса всех колец 88,то кольца по 7г в 4-м пакете(10+20+30+28=88) если после взвеш.получилась масса вмех 91 то колтца по 7 г в 3-м пакете 10+20+21+40=91
если пллуч.масса 94то колтца по 7 г во 2-м пакете 10+14+30+40=94. если получил масса 97 г то кольца по 7г в первом пакнте (7+20+30+40=97). как-то так))
4,7(21 оценок)
Ответ:
Lyudakostina1
Lyudakostina1
24.12.2021
Всё просто, решается уравнением                                                                 Тимур - х                                                                                                            Карина - 3х        > у всех 120                                                                            Людмила - 2х                                                                                                  Само уравнение: х+3х+2х=120 , 6х=120, х=120/6, х=20
То есть: У Тимура 20 магнитов, У Карины 20х3=60, У Людмилы 20х2=40
4,7(94 оценок)
Это интересно:
Новые ответы от MOGZ: Математика
logo
Вход Регистрация
Что ты хочешь узнать?
Спроси Mozg
Открыть лучший ответ