М
Молодежь
К
Компьютеры-и-электроника
Д
Дом-и-сад
С
Стиль-и-уход-за-собой
П
Праздники-и-традиции
Т
Транспорт
П
Путешествия
С
Семейная-жизнь
Ф
Философия-и-религия
Б
Без категории
М
Мир-работы
Х
Хобби-и-рукоделие
И
Искусство-и-развлечения
В
Взаимоотношения
З
Здоровье
К
Кулинария-и-гостеприимство
Ф
Финансы-и-бизнес
П
Питомцы-и-животные
О
Образование
О
Образование-и-коммуникации
ГКПС
ГКПС
24.03.2022 19:24 •  Математика

Найдите значение выражения:
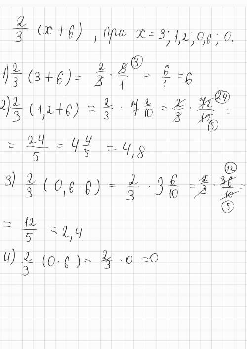
б) 2\3 (x+6) при x=3;1,2;0,6;0;

👇
Ответ:
vlados546712
vlados546712
24.03.2022

ответ:смотри в файле


Найдите значение выражения: б) 2\3 (x+6) при x=3;1,2;0,6;0;​
4,7(24 оценок)
Открыть все ответы
Ответ:
Miranny
Miranny
24.03.2022
Y' = (sinx)' ·cosx + sinx · (cosx)' = cosx·cosx - sinx·sinx = cos2x - sin2x вот здесь, частенько, возникает вопрос: оставить результат, как есть, или преобразовывать и дальше? ответ зависит исключительно от и пожеланий преподавателя.) производную мы уже нашли. обычно, если простое и очевидное, его нужно сделать. в нашем случае получилась формула косинуса двойного угла. можно написать ответ: y' = cos2x - sin2x = cos2x рассмотрим следствие из правила 3, т.е. правило 4. эта формула получается прямо из производной для умножения функций. если y=cu, где с - какое-то постоянное число, а u - любая функция, то: y' =(c·u)' = c'·u + c·u' = 0·u + c·u' = c·u'
4,4(39 оценок)
Ответ:
timofeyfrol
timofeyfrol
24.03.2022
Колько тайн хранит лес! вот идёшь ты по тропинке, видишь дупло, а там грибы висят, ну чем не тайна? кто повесил, неизвестно! может белка, а может и другое животное, но вторгаться в эти тайны нельзя! идёшь дальше, видишь заяц бежит. следуешь за ним, а он раз и в нору. а что там в норе, кто там живёт кроме зайца, есть ли у него семья, не узнаешь! а сколько тайн заложено в деревьях. смотришь, вроде бы ни чем не примечательно оно, но кто знает, что пережило это дерево? тайны есть тайнами, но любопытство никогда не скроешь. а если увидишь ты тёмный угол леса, где солнце не опрокидывает свой свет, не видно ничего, интересно бывает, что скрывается там. но есть тайны, которые лучше не знать и не вмешиваться в них, вот почему их называют
4,5(6 оценок)
Это интересно:
Новые ответы от MOGZ: Математика
Полный доступ к MOGZ
Живи умнее Безлимитный доступ к MOGZ Оформи подписку
logo
Вход Регистрация
Что ты хочешь узнать?
Спроси Mozg
Открыть лучший ответ