М
Молодежь
К
Компьютеры-и-электроника
Д
Дом-и-сад
С
Стиль-и-уход-за-собой
П
Праздники-и-традиции
Т
Транспорт
П
Путешествия
С
Семейная-жизнь
Ф
Философия-и-религия
Б
Без категории
М
Мир-работы
Х
Хобби-и-рукоделие
И
Искусство-и-развлечения
В
Взаимоотношения
З
Здоровье
К
Кулинария-и-гостеприимство
Ф
Финансы-и-бизнес
П
Питомцы-и-животные
О
Образование
О
Образование-и-коммуникации
весна37
весна37
28.02.2020 17:02 •  Математика

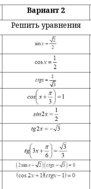
очень решить простейшие триганометрические уравнения, если правильно окажется я даже сотку завтра на киви вам закину ​


очень решить простейшие триганометрические уравнения, если правильно окажется я даже сотку завтра на

👇
Ответ:
Weirdy
Weirdy
28.02.2020

решение на фотографиях


очень решить простейшие триганометрические уравнения, если правильно окажется я даже сотку завтра на
очень решить простейшие триганометрические уравнения, если правильно окажется я даже сотку завтра на
очень решить простейшие триганометрические уравнения, если правильно окажется я даже сотку завтра на
4,8(63 оценок)
Ответ:
пукимэн228
пукимэн228
28.02.2020

ответ:в прикреплённом файле

Пошаговое объяснение:в прикреплённом файле


очень решить простейшие триганометрические уравнения, если правильно окажется я даже сотку завтра на
очень решить простейшие триганометрические уравнения, если правильно окажется я даже сотку завтра на
4,5(11 оценок)
Открыть все ответы
Ответ:
pety1234
pety1234
28.02.2020
Обозначим через a, b, c - число участников, решивших соответственно задачу A, B, C; через ab, ac, bc - решивших задачи A и B, A и C, B и C соответственно; через abc - решивших все три задачи. 

По условию a=25; b=22; c=22; a+b-ab=35 (⇒ab=25+22-35=12); a+c-ac=32 (⇒ac=25+22-32=15); b+c-bc=31 (⇒bc=22+22-31=13); abc=10

Выражение a+b+c-ab-ac-bc+abc=25+22+22-12-15-13+10=39 - столько участников решили хотя бы одну задачу. Поэтому не решил ни одной задачи один участник.

Выражение 39-ab-ac-bc+2abc=39-12-15-13+20=19 - столько участников решили ровно одну задачу.
4,5(7 оценок)
Ответ:
daxandra
daxandra
28.02.2020
Единственным приемлемым объяснением этого нам представляется гипотеза о том, что Мстислав не участвовал в междоусобице 1015–1019 гг., аявлялся союзником Святополка на следующем ее этапе в 1019–1022 гг. Опираясь на местное население, Мстислав начал в 1023 г. движение на север в поддержку Святополка, а после исчезновения союзника с политической арены он вполне мог объявить себя его политическим преемником, пользуясь пребыванием Ярослава в Новгороде. Однако киевляне отвергли кандидатуру тмутороканского князя, явившегося под городские стены во главе хазар и касогов, так что ему ничего не оставалось, как закрепиться в Чернигове. Если в случае с приходом Мстислава под стены Киева в летописи упомянуты «кыяне» — представители местной общины или феодальной корпорации, не суть важно, то здесь мы не встречаем никакого упоминания о «черниговцах», поэтому вероятнее предположить, что Мстислав захватил власть в беззащитном городе с своих хазар и касогов.
4,6(76 оценок)
Это интересно:
Новые ответы от MOGZ: Математика
logo
Вход Регистрация
Что ты хочешь узнать?
Спроси Mozg
Открыть лучший ответ