М
Молодежь
К
Компьютеры-и-электроника
Д
Дом-и-сад
С
Стиль-и-уход-за-собой
П
Праздники-и-традиции
Т
Транспорт
П
Путешествия
С
Семейная-жизнь
Ф
Философия-и-религия
Б
Без категории
М
Мир-работы
Х
Хобби-и-рукоделие
И
Искусство-и-развлечения
В
Взаимоотношения
З
Здоровье
К
Кулинария-и-гостеприимство
Ф
Финансы-и-бизнес
П
Питомцы-и-животные
О
Образование
О
Образование-и-коммуникации
tbabkova084
tbabkova084
18.06.2020 06:33 •  Математика

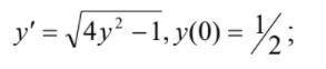
Задача Коши! Найти частные решения, удовлетворяющие указанным начальным условиям.


Задача Коши! Найти частные решения, удовлетворяющие указанным начальным условиям.

👇
Ответ:
yliana262626
yliana262626
18.06.2020

решение на фотографии.


Задача Коши! Найти частные решения, удовлетворяющие указанным начальным условиям.
4,8(23 оценок)
Открыть все ответы
Ответ:
prisheplub
prisheplub
18.06.2020
Сөйкемле кичерегез, мин сезгә алай озак яздым. Хат сезнең барлык получал, алар өчен зур рәхмәт. Аларны, туганнарым, бик аз. Ничек күрәсе килә, уку ирекле туктагыз сезнең письмецо, әйе, тагын шундый, сез ничек яз. Соң мондый хатлар тагын становишься злей, тагын да күбрәк теләк итәргә күбрәк бить сильней бу гадину. Рәхмәт, сөйкемле, мондый хатлар. Мин бик канәгать, белмим, ничек тапшырырга минем шатлык, - дип булса да, хатлар аша, ләкин сез минем белән бергә. Ничек яхшы, сез барлык әнисе, апалары, абыйлары, туганнары һәм якыннары белән бергә безнең куете безнең белән җиңү – бу әле бер, аларны өч залогов безнең җиңү. Әлбәттә, кызганыч њлсђк њлђрбез, тик шул ук вакытта килә үләргә, әгәр твоя үлем приблизит сәгате җиңү, сез, туганнарым, булачаксыз яшәргә, бик әйбәт булачаксыз турында безне җырларга искиткеч җыр һәм булачаксыз белән горур поднятой аягы һәм булачаксыз сөйләшергә, сезнең туган улы, абыйсы, абый үлгән гадел көрәштә ватан өчен, азат итү. Минем сөйкемле, минем эшләр яхшы. Бары тик күптән хат алмаганга нче Коли, әйе, үзе аңа күптән түгел язган. Ничек сөйкемле Сезнең эшне? Ничек, әнием, синең сәламәтлеге? Яз күбрәк һәм ешрак.
ПЕРЕВОД
Милые простите, что я вам так долго не писал. Письма ваши все получал, за которые большое Их, мои родные, очень мало. Как хочется почитать в свободную минутку ваше письмецо, да еще такое, как вы пишите. После такого письма еще становишься злей, еще больше желания сделать больше, бить сильней эту гадину милые, за такие письма. Я очень доволен, даже не знаю, как передать мою радость, что хотя через письма, но вы вместе со мной. 
Как хорошо, что вы все матери, сестры, братья, родные и близкие вместе с нами куете с нами победу – это еще один их трех залогов нашей победы. Конечно, жаль умереть, но и в тоже время хочется умереть, если твоя смерть приблизит час победы, вы, мои родные, будете жить, замечательно, будете о нас петь замечательные песни и будете с гордо поднятой головой и будете говорить, что ваш родной сын, брат, дядя погиб честно в борьбе за родину, за освобождение. 
Мои милые, мои дела хороши. Только давно не получал писем от Коли, да и сам давно ему не писал. 
Как милые Ваши дела? 
Как, мамочка, твое здоровье? 
Пишите больше и чаще. 
4,7(78 оценок)
Ответ:
Siya99
Siya99
18.06.2020
Если обнаруженный предмет не должен, по вашему мнению, находиться в этом месте, не оставляйте этот факт без внимания
Не предпринимайте самостоятельно никаких действий с находками или подозрительными предметами, которые могут оказаться взрывными устройствами - это может привести к их взрыву, многочисленным жертвам и разрушениям.

Если вы оказались в заложниках, рекомендуем придерживаться следующих правил поведения:

неожиданное движение или шум могут повлечь жестокий отпор со стороны террористов. Не допускайте действий, которые могут спровоцировать террористов к применению оружия и привести к человеческим жертвам;
будьте готовы к применению террористами повязок на глаза, кляпов, наручников или веревок
переносите лишения, оскорбления и унижения, не смотрите преступникам в глаза (для нервного человека это сигнал к агрессии), не ведите себя вызывающе;
не пытайтесь оказывать сопротивление, не проявляйте ненужного героизма, пытаясь разоружить бандита или прорваться к выходу или окну;
если вас заставляют выйти из помещения, говоря, что вы взяты в заложники, не сопротивляйтесь;
если с вами находятся дети, найдите для них безопасное место, постарайтесь закрыть их от случайных пуль, по возможности находитесь рядом с ними;
при необходимости выполняйте требования преступников, не противоречьте им, не рискуйте жизнью окружающих и своей собственной, старайтесь не допускать истерики и паники;
в случае когда необходима медицинская говорите спокойно и кратко, не нервируя бандитов, ничего не предпринимайте, пока не получите разрешения.
Может и не все правила но ... то что есть
4,4(73 оценок)
Новые ответы от MOGZ: Математика
Полный доступ к MOGZ
Живи умнее Безлимитный доступ к MOGZ Оформи подписку
logo
Вход Регистрация
Что ты хочешь узнать?
Спроси Mozg
Открыть лучший ответ