
Пошаговое объяснение:
5/18 • 9/10 = 1/4 - всех деревьев составляют дубы.
Сначала найдём 8/27 от числа 5,4.
8/27 * 5,4 = 8/27 * 54/10 = 8/27 * 27/5 = 8/5.
Теперь найдём 4 целых 2/3 от числа 6/7.
4 целых 2/3 * 6/7 = 14/3 * 2/3 = 28/9.
Чтобы сравнить два полученный значения, нужно вычесть из одного другое. Вычтем из 8/5 число 28/9.
8/5 - 28/9 = 72/45 - 140/45 = -68/45 = -1 целая 23/45. Отрицательный результат означает, что 8/27 от числа 5,4 больше, чем 4 целых 2/3 от числа 6/7 на -1 целую 23/45, или меньше на 1 целую 23/45.
ответ: -1 целая 23/45.
Пошаговое объяснение:
5/18 • 9/10 = 1/4 - всех деревьев составляют дубы.
Сначала найдём 8/27 от числа 5,4.
8/27 * 5,4 = 8/27 * 54/10 = 8/27 * 27/5 = 8/5.
Теперь найдём 4 целых 2/3 от числа 6/7.
4 целых 2/3 * 6/7 = 14/3 * 2/3 = 28/9.
Чтобы сравнить два полученный значения, нужно вычесть из одного другое. Вычтем из 8/5 число 28/9.
8/5 - 28/9 = 72/45 - 140/45 = -68/45 = -1 целая 23/45. Отрицательный результат означает, что 8/27 от числа 5,4 больше, чем 4 целых 2/3 от числа 6/7 на -1 целую 23/45, или меньше на 1 целую 23/45.
ответ: -1 целая 23/45.
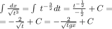
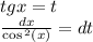
замена: