М
Молодежь
К
Компьютеры-и-электроника
Д
Дом-и-сад
С
Стиль-и-уход-за-собой
П
Праздники-и-традиции
Т
Транспорт
П
Путешествия
С
Семейная-жизнь
Ф
Философия-и-религия
Б
Без категории
М
Мир-работы
Х
Хобби-и-рукоделие
И
Искусство-и-развлечения
В
Взаимоотношения
З
Здоровье
К
Кулинария-и-гостеприимство
Ф
Финансы-и-бизнес
П
Питомцы-и-животные
О
Образование
О
Образование-и-коммуникации
dgumaeva17
dgumaeva17
19.02.2020 23:56 •  Математика

Решите 3 примера.
Даю 100б


Решите 3 примера. Даю 100б

👇
Ответ:
sasoort1
sasoort1
19.02.2020

))

Пошаговое объяснение:

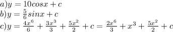
a) y=10cosx+c\\b) y=\frac{5}{6}sinx+c\\c) y= \frac{4x^6}{6} +\frac{3x^3}{3} +\frac{5x^2}{2}+c =\frac{2x^6}{3} +x^3 +\frac{5x^2}{2}+c

4,7(22 оценок)
Открыть все ответы
Ответ:
Тппсхп
Тппсхп
19.02.2020
X² - 6yz + 2y² = 1
3y² - 4xy +9z² = -1   ⇒
                                  x² -6yz+2y² +3y²-4xy+9z²=0
                                  x²-4xy +4y² +y²-6yz+9z²=0
                                  (x -2y)² + (y - 3z)² = 0   ⇒
                                                                          x-2y=0
                                                                          y-3z=0 ⇒
y=3z ;  x=2y=6z  ⇒   (6z)² - 6·(3z)·z + 2·(3z)² =1  ⇒
                                   (6z)² - 18z² +18z² = 1          ⇒
                                    (6z)² = 1    ⇒  6z = +/-1  
a)  z = -1/6   ⇒   y = -1/2   ;  x = -1
b)  z = 1/6    ⇒   y = 1/2    ;   x = 1
ответ:   (-1; -1/2; -1/6)  ;  (1; 1/2 ; 1/6)
4,5(93 оценок)
Ответ:
azerzhanovaa
azerzhanovaa
19.02.2020
1) 10 -  8  = 2 (ч.) время в пути грузовиков
2)  50 * 2 = 100 (км) расстояние, которое проехал II грузовик за 2 часа
Тут либо условие задачи дано тобой неточное, либо задачка с подвохом.

Вариант решения 1.
I грузовик отстал от II грузовика на 4 км, и поэтому расстояние между ними в 10 утра было 4 км .
3)  100 - 4 = 96 (км) расстояние, которое проехал I грузовик за 2 часа.
4)  96 : 2 = 48 (км/ч) скорость I грузовика.
ответ: 48 км/ч скорость I грузовика.

Вариант решения 2.
I грузовик обогнал II грузовик на 4 км.
3) 100 + 4 = 104 (км) расстояние , которое проехал I грузовик за 2 часа
4) 104 :  2 = 52 (км/ч) скорость I грузовика
ответ:  52 км/ч  скорость I грузовика.
4,5(23 оценок)
Новые ответы от MOGZ: Математика
Полный доступ к MOGZ
Живи умнее Безлимитный доступ к MOGZ Оформи подписку
logo
Вход Регистрация
Что ты хочешь узнать?
Спроси Mozg
Открыть лучший ответ