
Задача: Найдите коэффициент a, если парабола y = ax² проходит через точку a(-2;12).
Подставим координаты точки в уравнение параболы и выразим из него коэффициент a:
12 = (-2)²a
12 = 4a
a = 3
ответ: a = 3.
Задача: С графика функции y = -0.5x² решите неравенство -0.5x² > -2.
(прикреплено)
y = -0.5x² — красный графикy = -2 — фиолетовый графикответ: -2 < x < 2 или x ∈ (-2; 2).
Задача: На одной координатной плоскости постройте графики функций y = x² и y = -x². Используя графики, выяснить, какая из этих функций возрастает на промежутке x ≤ 0.
(прикреплено)
y = x² — зеленый графикy = -x² — красный графикответ: На промежутке x ≤ 0 возрастает ф-ция y = -x².


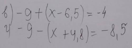
в) 11.5
г) -6.3
Пошаговое объяснение:
-9+(х-6.5)= -4
х-6.5= -4+9
х-6.5=5
х=5+6.5
х=11.5
-9-(х+4.8)= -8.5
-(х+4.8)= -8.5+9
-(х+4.8)= 1.5
-х-4.8=1.5
-х=1.5+4.8
-х=6.3
ч= -6.3