2) выражение: cos^2 l - cos^4 l+sin^4 l 3. найдите область определения и область значения функции y=2+sin x. постройте график функции 4. решите сис-му уравнений 1 уравнение: 3x+5y=-4 2 уравнение: -x+3y=6 6.найдите производные функции: а)y=0,5 - 6х б)y=(1/()/3)+2/x в) y=(2+x)/x 7) найдите интегралы интеграл(3x-2)dx б)интеграл (6/(1+x^2))dx в)интеграл в верху 1 внизу -2 (3x^2 -15)dx 8) из точки а отстоящей от плоскости на 12 см, проведена к этой плоскости наклонная ав равная 37 см. найти проэкцию ав на данную плоскость (предварительно выполнив рисунок) 9) как изменится полная поверхность куба, если его ребро увеличить в 3 раза
3)D(x)=R;E(y)=[1;3],график во вложении 1.
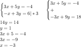
4)
ответ:(-3;1)
8)
Вложение 2
9)Было a Площадь поверхности 6a^2
Стало 3a Площадь поверхности 9*6a^2
ответ:увеличится в 9 раз