( а )

Проверка:

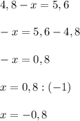
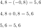
( б )

Проверка:

Задание № 1:
Сколько существует различных шестизначных чисел, у которых третья цифра 3, пятая цифра 5, а остальные цифры чётные? Цифры в записи числа не должны повторяться.
на первом месте любая четная цифра кроме нуля (2468) - 4 варианта
на втором месте любая четная цифра (02468), кроме одной использованной раньше - 4 варианта
на четвертом месте любая четная цифра (02468), кроме двух использованных раньше - 3 варианта
на шестом месте любая четная цифра (02468), кроме трех использованных раньше - 2 варианта
4*4*3*2=96
ответ: 96
Задание № 2:
Пишутся одно за другим подряд числа натурального ряда 12345678910111213... Какая цифра будет записана на 333 месте?
для однозначных нужно 1*9=9 цифр
для двузначных нужно 2*90=180 цифр
итого для одно- и двузначных 9+180=189
осталось для трехзначных 333-189=144
в каждом числе по три цифры - 144/3=48 числа запишется
эти числа 100, 101, ..., 147 - последняя цифра 7
ответ: 7
Задание № 3:
Какое число надо прибавить к числителю дроби 23/55 и вычесть из её знаменателя, чтобы получилась дробь 9/17?
это число х
(23+х)/(55-х)=9/17
17(23+х)=9(55-х)
391+17х=495-9х
26х=104
х=4
ответ: 4
Задание № 4:
В коробке 5 красных, 6 зелёных, 7 синих и 8 жёлтых карандашей. В темноте из коробки берут карандаши. Какое наименьшее число карандашей надо взять, чтобы среди них обязательно было 3 карандаша одного цвета?
в худшем случае достанем по 2 карандаша каждого цвета, цветов четыре, то есть карандашей 2*4=8
девятый для какого-то цвета будет третьим
ответ: 9
Задание № 5:
Турист, проплывая против течения под мостом, потерял кепку. Через 20 минут он заметил пропажу, развернулся и поймал кепку в 4 км от моста. Какова скорость течения реки? Дайте ответ в километрах в час.
так как и кепка и турист плывут по одному течению, то туристу для возвращения к кепке понадобится столько же времени, то есть 20 минут
итого турист добрался до кепки через 20+20=40 минут после потери
кепка проплыла 4 км
4км/40мин=4км/(2/3)ч=6км/ч
ответ: 6
Задание № 6:
В трёх корзинах лежат яблоки. В первой на 10 яблок меньше, чем в двух других вместе, а во второй на 16 яблок меньше, чем в первом и третьем. Сколько яблок в третьей корзине?
в первом х, во втором у, в третьем z
x=y+z-10
y=x+z-16
подставим первое во второе
y=y+z-10+z-16
0=z-10+z-16
2z=26
z=13
ответ: 13
Задание № 7:
Расшифруйте запись: 7ABCDE:5=ABCDE7. Одинаковые буквы - это одинаковые цифры, разные буквы - разные цифры. Найдите значение суммы: A+B+C+D+E
перепишем пример через умножение
ABCDE7*5=7ABCDE
E=5
ABCD57*5=7ABCD5
D=8
ABC857*5=7ABC85
C=2
AB2857*5=7AB285
B=4
A42857*5=7A4285
A=1
1+4+2+8+5=20
ответ: 20
а) 500
б) 96
в) 70
г) 375
Пошаговое объяснение:
а) Если цифры могут повторяться, то на месте первой цифры может стоять одна из четырёх цифр (5, 6, 7 или 8, 0 не подходит, поскольку тогда число не будет четырёхзначным), а на месте второй, третьей и четвёртой цифр может стоять любая из 5 цифр. Тогда общее количество возможных вариантов равно 4 * 5 * 5 * 5 = 20 * 25 = 500 чисел
б) Если цифры не могут повторяться, то на месте первой цифры также может стоять одна из четырёх цифр (5, 6, 7 или 8), на месте второй - любая из четырёх цифр (0 и 3 другие цифры, не использовавшиеся на месте первой), на месте третьей - одна из 3 цифр и на месте четвёртой - одна из 2 цифр. Тогда общее количество возможных вариантов равно 4 * 4 * 3 * 2 = 16 * 6 = 96 чисел
в) Для деления числа на 9 необходимо, чтобы сумма его чисел делилась на 9. Разобьём четырёхзначное число на пары цифр (первая-вторая и третья-четвёртая). Из представленных в условии цифр можно получить 7 возможных комбинаций сумм двух цифр, которые делятся на 9: это 5 и 13, 6 и 12, 7 и 11, 8 и 10, 11 и 16, 12 и 15, 13 и 14. Тогда число комбинаций сумм всех четырёх цифр будет равняться 7 * 5 = 35, а поскольку каждая из комбинаций может иметь ещё по 2 варианта расстановки, умножим получившееся выражение на 2 и получим 35 * 2 = 70 чисел
г) Для того чтобы число превышало 6000, необходимо, чтобы в разряде тысяч, то есть на месте первой цифры стояла одна из трёх цифр (6, 7 или 8), а на месте второй, третьей и четвёртой цифр может стоять любая из 5, тогда таких чисел будет 3 * 5 * 5 * 5 = 15 * 25 = 375 чисел
а) - 1,4
б) - 0,8
Пошаговое объяснение:
а) х= 1,8-3,2
х= - 1,4
ответ: - 1,4
б) х=4,8-5,6
х= - 0,8
ответ :-0,8