М
Молодежь
К
Компьютеры-и-электроника
Д
Дом-и-сад
С
Стиль-и-уход-за-собой
П
Праздники-и-традиции
Т
Транспорт
П
Путешествия
С
Семейная-жизнь
Ф
Философия-и-религия
Б
Без категории
М
Мир-работы
Х
Хобби-и-рукоделие
И
Искусство-и-развлечения
В
Взаимоотношения
З
Здоровье
К
Кулинария-и-гостеприимство
Ф
Финансы-и-бизнес
П
Питомцы-и-животные
О
Образование
О
Образование-и-коммуникации
nastyakravchen6
nastyakravchen6
28.10.2020 23:30 •  Математика

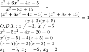
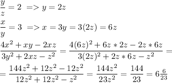
1. найдите произведение корней уравнения: х3+6x2+4x-5 = 1 x2+8x+15 2. вычислите дроби: 4x2+xy-2xz y x при условии, что = 2, = 3 3y2+2xz-z2 z y

👇
Ответ:
1.
\dfrac{x^3+6x^2+4x-5}{x^2+8x+15}=1\\
\dfrac{(x^3+6x^2+4x-5)-(x^2+8x+15)}{(x+3)(x+5)}=0 \\ 
O.D.3.: x \neq-3,\ x \neq-5\\
x^3+5x^2-4x-20=0\\ x^2(x+5)-4(x+5)=0\\ (x+5)(x-2)(x+2)=0\\
x_1=-5,\ x_2=-2,\ x_3=2

C учетом О.Д.З. получим х=-2, х=2.
ответ: -2; 2.
2. 
\dfrac{y}{z}=2\ = y=2z\\\\ \dfrac{x}{y}=3\ = x=3y=3(2z)=6z\\\\ 
\dfrac{4x^2+xy-2xz}{3y^2+2xz-z^2}=\dfrac{4(6z)^2+6z*2z-2z*6z}{3(2z)^2+2z*6z-z^2}=\\\\ =\dfrac{144z^2+12z^2-12z^2}{12z^2+12z^2-z^2}=\dfrac{144z^2}{23z^2}=\dfrac{144}{23}=6\frac{6}{23}
4,8(12 оценок)
Открыть все ответы
Ответ:
bomicbomic
bomicbomic
28.10.2020
Чтобы ответить на этот вопрос, нужно обратиться к координатной прямой и понять, какие значения соответствуют буквам "t" и "e".

На координатной прямой, буквенные значения обычно представляются точками. Давайте предположим, что центр координатной прямой находится в точке O.

Теперь, чтобы найти буквенное значение "t", нужно найти точку, которая соответствует этой букве. Давайте предположим, что "t" находится на расстоянии 4 единицы вправо от точки O. Тогда точка "t" будет иметь координаты (4, 0).

Аналогично, чтобы найти буквенное значение "e", нужно найти соответствующую точку. Давайте предположим, что "e" находится на расстоянии 2 единицы влево от точки O. Тогда точка "e" будет иметь координаты (-2, 0).

То есть, буквенные значения |t| и |e| на данной координатной прямой будут:

|t| = 4
|e| = 2

Таким образом, чтобы запомнить значения букв "t" и "e", достаточно знать, что "t" находится в положительной части координатной прямой (справа от центра), а "e" - в отрицательной части координатной прямой (слева от центра).
4,4(51 оценок)
Ответ:
tatianani
tatianani
28.10.2020
Добрый день! Конечно, я могу помочь вам решить эту задачу.

Для начала, давайте посмотрим на диаграмму возрастов, которую составил Дима. Представьте, что у нас есть круг, разделенный на различные сектора, каждый из которых соответствует возрасту определенного члена семьи.

Теперь, чтобы определить, на сколько лет Дима младше Кати, мы должны сравнить их возрастные сектора на диаграмме.

Давайте предположим, что сектор Димы на диаграмме занимает одну треть круга, а сектор Кати занимает две трети круга. Представим, что весь круг отображает суммарный возраст всех членов семьи.

Теперь нам нужно определить, на сколько лет Дима младше Кати. Для этого давайте воспользуемся простым математическим подходом:

1. Разделим круг на три равные части (представляющие возраст Димы) и две равные части (представляющие возраст Кати).

2. Определим разницу между размерами секторов Димы и Кати.

3. Эта разница покажет нам, на сколько лет Дима младше Кати.

Давайте проиллюстрируем это на примере:

Пусть сектор Димы занимает 120 градусов круга, а сектор Кати занимает 240 градусов круга. Всего в круге 360 градусов.

Теперь вычислим разницу между секторами Димы и Кати:

Разница = Сектор Кати - Сектор Димы
= 240 - 120
= 120

Итак, разница составляет 120 градусов.

Теперь вернемся к нашей задаче: она просит нам определить, на сколько лет Дима младше Кати. В нашем примере 1 градус на диаграмме соответствует 1 году возраста.

Теперь нам нужно разделить нашу разницу в градусах на соответствующий коэффициент. В нашем случае этот коэффициент равен 1.

Итак, разделим 120 градусов на 1:

120 градусов ÷ 1 = 120 лет

Итак, по нашим предположениям, Дима младше Кати на 120 лет.

Однако, в реальной диаграмме размеры секторов могут иметь другие значения, поэтому важно учитывать эти значения при решении задачи. Но концепция остается той же: мы находим разницу между размерами секторов, которая показывает, на сколько лет один член семьи младше другого.

Надеюсь, это помогло полностью разобраться в вопросе! Если у вас появятся дополнительные вопросы, пожалуйста, не стесняйтесь задавать их.
4,7(99 оценок)
Это интересно:
Новые ответы от MOGZ: Математика
logo
Вход Регистрация
Что ты хочешь узнать?
Спроси Mozg
Открыть лучший ответ