М
Молодежь
К
Компьютеры-и-электроника
Д
Дом-и-сад
С
Стиль-и-уход-за-собой
П
Праздники-и-традиции
Т
Транспорт
П
Путешествия
С
Семейная-жизнь
Ф
Философия-и-религия
Б
Без категории
М
Мир-работы
Х
Хобби-и-рукоделие
И
Искусство-и-развлечения
В
Взаимоотношения
З
Здоровье
К
Кулинария-и-гостеприимство
Ф
Финансы-и-бизнес
П
Питомцы-и-животные
О
Образование
О
Образование-и-коммуникации
nikitka1011
nikitka1011
19.03.2021 16:53 •  Математика

31/76+45/76-p=15/31 расскажите как решали

👇
Ответ:
Макуегщ
Макуегщ
19.03.2021
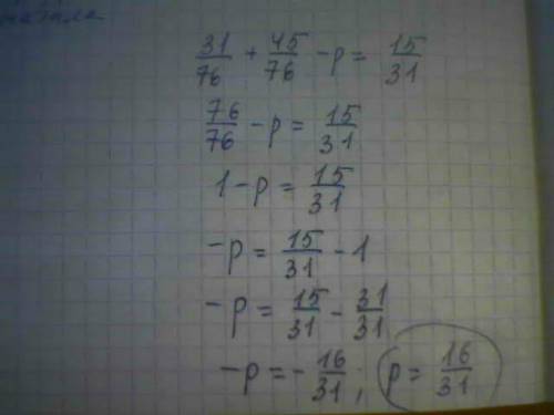
\frac{31}{76} + \frac{45}{76} -p= \frac{15}{31} 
\\\
p= \frac{31}{76} + \frac{45}{76}- \frac{15}{31} = \frac{76}{76} - \frac{15}{31} =\frac{31}{31} - \frac{15}{31} =\frac{16}{31}
ответ: 16/31

31/76+45/76-p=15/31 расскажите как решали
4,8(38 оценок)
Ответ:
9fhneh
9fhneh
19.03.2021
Решение Вашего задания во вложении
4,8(75 оценок)
Открыть все ответы
Ответ:
kate823
kate823
19.03.2021
Три неизвестных и два условия, значит в решении должен быть элемент логического подбора.
20кг и 5кг - величины, кратные пяти, а 137 на пять не делится, значит за счёт веса, что несли дети надо получить вес, кратный пяти, ( т. е. вычесть число, последняя цифра которого или 2, или 7)
Можно убрать 42 кг ( 14 детей по 3 кг ), останется 95 кг на 6 человек
Можно убрать 27 кг ( 9 детей по 3 кг) , останется 110 кг на 11 человек
можно убрать 12 кг ( 4 ребенка) , останется 125 кг на 16 человек
В каждом из этих случаев составляем ур-е, корень которого должен быть натуральным числом.
1). х- мужчин, 6-х -женщин. 20х+(6-х) 5=95, х=65/15
2). х- мужчин, 11-х -женщин. 20х+(11-х) 5=110, х=55/15
3). х- мужчин, 16-х -женщин. 20х+(16-х) 5=125, х=3
Значит подходит только третий случай, тогда
ответ: в походе были 3 мужчины, 13 женщин и 4 ребенка
4,4(95 оценок)
Ответ:
mrsexobeat308
mrsexobeat308
19.03.2021
Смотри: кувшин+3 стакана+3 кружки=кувшин+4 кружки. Убираем кувшины, получаем, что 3 кружки+3 стакана=4 кружкам. 3 кружки в обоих рядах так же выносим "за скобку". Теперь видим, что 3 стакана=1 кружке.
Далее кувшин: смотрим пример: 2 кувшина+6 стаканов=кувшин+3 стакана+3 кружки. Убираем из первого 6 стаканов, из второго 3 стакана и кружку, выходит, что 2 кувшина равны кувшин+2 кружки. Значит, кувшин равен двум кружкам. А кружка, как мы уже выяснили, равна 3 стаканам. Значит, кувшин равен 6 стаканам. Как-то так.
4,6(68 оценок)
Это интересно:
Новые ответы от MOGZ: Математика
logo
Вход Регистрация
Что ты хочешь узнать?
Спроси Mozg
Открыть лучший ответ