М
Молодежь
К
Компьютеры-и-электроника
Д
Дом-и-сад
С
Стиль-и-уход-за-собой
П
Праздники-и-традиции
Т
Транспорт
П
Путешествия
С
Семейная-жизнь
Ф
Философия-и-религия
Б
Без категории
М
Мир-работы
Х
Хобби-и-рукоделие
И
Искусство-и-развлечения
В
Взаимоотношения
З
Здоровье
К
Кулинария-и-гостеприимство
Ф
Финансы-и-бизнес
П
Питомцы-и-животные
О
Образование
О
Образование-и-коммуникации
aekawahar
aekawahar
22.10.2021 02:07 •  Математика

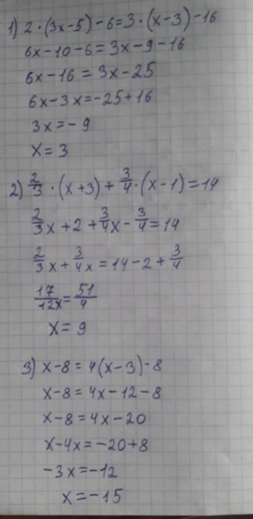
Решите уравнение 1) 2*(3x-5)-6=3*(x-3)-16
2) 2\3*(x+3)+3\4(x-1)=14
3) x-8=4(x+3)-8
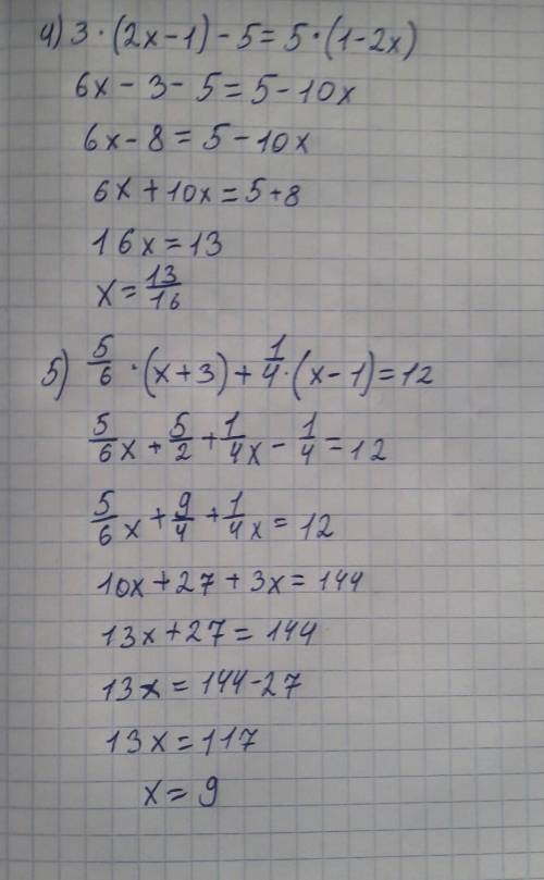
4) 3*(2x-1)-5=5*(1-2x)
5) 5\6*(x+3)+1\4(x-1)=12

👇
Ответ:
Пиоооьлл
Пиоооьлл
22.10.2021

Пошаговое объяснение:

здесь всё правильно))))) хорошего настроения♡♡♡


Решите уравнение 1) 2*(3x-5)-6=3*(x-3)-16 2) 2\3*(x+3)+3\4(x-1)=14 3) x-8=4(x+3)-8 4) 3*(2x-1)-5=5*
Решите уравнение 1) 2*(3x-5)-6=3*(x-3)-16 2) 2\3*(x+3)+3\4(x-1)=14 3) x-8=4(x+3)-8 4) 3*(2x-1)-5=5*
4,5(88 оценок)
Открыть все ответы
Ответ:
Turtlrs
Turtlrs
22.10.2021
 (1) Для перевозки школьников в спортивный лагерь надо заказать 12 микроавтобусов или 5 больших автобусов. Сколько школьников нужно было перевезти если в большом автобусе на 35 мест больше чем в микроавтобусе?
х- мест в микроавтобусе
х+35- мест в автобусе

12х=5(х+35)
12х=5х+175
12х-5х=175
7х=175
х=175/7
х=25
25*12=300 детей всего

(2) Белочки Рыженькая и Желтенькая собирали орехи причём Рыженькая собрала в 8 раз меньше орехов чем Желтенькая. Тогда Жёлтенькая отдала Рыженькой 42 своих ореха после чего орехов у белочек стало поровну сколько орехов собрала каждая белочка?
х- собрала Рыженькая
8х-собрала Желтенькая
8х-42=х+42
8х-х=42+42
7х=84
х=84/7
х=12 -собрала Рыженькая

12*8=96- собрала Желтенькая

(3) Четверо рабочих изготовили 152 детали. Второй рабочий изготовил 5/6 количества деталей изготовленных первым третий - 90% того что изготовил второй а четвертый на 8 деталей меньше чем третий Сколько деталей изготовил каждый рабочий?

х- изготовил 1й
5/6 х- изготовил 2й
5/6х*0,9=5/6*9/10*х=1/6*9/2х=1/2*3/2х=3/4х изготовил 3й
3/4х-8- изготовил 4й
х+5/6х+3/4х+3/4х-8=152
х+5/6х+6/4х=152+8                               х+5/6х+6/4х=12/12х+10/12х +18/12х=
                                                            = 40/12х=10/3х
10/3х=160           делим право и лево на 10
 1/3х=16
х=16: 1/3
х=16*3/1
х= 48 - 1й
5/6*48=40  -2й
40*0,9=36- 3й
36-8=28 -4й

проверка
48+40+36+28=152
4,4(54 оценок)
Ответ:
romka1014
romka1014
22.10.2021
1рабочий=Х;

2рабочий=5/6х;
3рабочий=5/6х•90%=5/6х•0,9= 5/6х• 9/10= 1/2х•3/2= 3/4х

4рабочий= 3/4х -8

Вместе 152детали

Уравнение

Х+ 5/6х+ 3/4х+ (3/4х-8)=152

Х+ 5/6х+ 3/4х+ 3/4х -8=152

Х+ 5/6х+ 6/4х= 152+8

Х+ 5/6х+ 1 2/4х= 160

Х+ 5/6х + 1 1/2х= 160

Х+ 5/6х+ 1 (1•3)/(2•3)Х= 160

Х+ 5/6х+ 1 3/6х= 160

Х+ 1 8/6х= 160

Х+ 2 2/6х= 160

Х+ 2 1/3х= 160

3 1/3х= 160

(3•3+1)/3х= 160

10/3х= 160

Х=160 :10/3

Х= 160• 3/10

Х= 16• 3/1

Х= 48

Х=48деталей сделал 1рабочий;

5/6х= 5/6• 48= 5/1• 8= 40деталей сделал 2рабочий

3/4х= 3/4• 48= 3/1• 12= 36деталей сделал 3рабочий

3/4х -8= 3/4• 48 -8= 3/1• 12 -8= 36-8= 28 деталей сделал 4рабочий

Проверка

48+40+36+28= 88+64= 152детали вместе изготовили
4,6(78 оценок)
Это интересно:
Новые ответы от MOGZ: Математика
Полный доступ к MOGZ
Живи умнее Безлимитный доступ к MOGZ Оформи подписку
logo
Вход Регистрация
Что ты хочешь узнать?
Спроси Mozg
Открыть лучший ответ