М
Молодежь
К
Компьютеры-и-электроника
Д
Дом-и-сад
С
Стиль-и-уход-за-собой
П
Праздники-и-традиции
Т
Транспорт
П
Путешествия
С
Семейная-жизнь
Ф
Философия-и-религия
Б
Без категории
М
Мир-работы
Х
Хобби-и-рукоделие
И
Искусство-и-развлечения
В
Взаимоотношения
З
Здоровье
К
Кулинария-и-гостеприимство
Ф
Финансы-и-бизнес
П
Питомцы-и-животные
О
Образование
О
Образование-и-коммуникации
darows
darows
19.01.2022 10:38 •  Математика

За решение 15 с дробями . геологи долину, расположенную между горами, за три дня. в первый день они во второй 1/3 всего пути и в третий оставшиеся 28 км. вычисли длину пути, проходящего по долине.

👇
Ответ:
Ha4uk
Ha4uk
19.01.2022
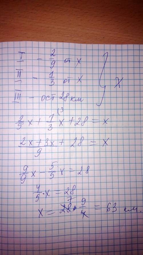
В первый день
Во второй день 1/3=3/9 пути
В третий день 9/9-2/9-3/9=4/9=28 км
Весь путь равен 28*9/4=63 км
4,7(89 оценок)
Ответ:
mukhibamuz14
mukhibamuz14
19.01.2022
ответ: 63 км. 
решение смотри на фотке
За решение 15 с дробями . геологи долину, расположенную между горами, за три дня. в первый день они
4,7(5 оценок)
Открыть все ответы
Ответ:
Spudi14
Spudi14
19.01.2022
Мой кумир это Майкл Дже́ффри Джо́рдан. Он прославленный американский баскетболист, бывший игрок НБА. Играл на позиции атакующего защитника. Джордан сыграл важную роль в популяризации баскетбола и НБА во всём мире в 1980-х и 1990-х годах.

За феноменальную прыгучесть Майкл получил прозвища «Air Jordan»

В 1991 году он выиграл свой первый чемпионат НБА с «Буллз», в 1992 и 1993 годах повторил этот успех.

В 1984 году Джордан заключил рекламный контракт с фирмой Nike, которая специально для Майкла разработала кроссовки Air Jordans. Проект был настолько успешен, что впоследствии Air Jordans стали самостоятельным брендом.

Джордан играл на позиции атакующего защитника и являлся главным специалистом команды по игре в нападении (как в Чикаго, так и в Вашингтоне). Лидер НБА по количеству очков, набранных в среднем за игру в течение регулярного чемпионата (30,12 очков за игру) и плей-офф (33,4 очков за игру).

Джордан — самый универсальный защитник с отличным баскетбольным интеллектом, он прекрасно умеет бросать по кольцу, делать передачи, играть под щитом обороне. Обладает неповторимым «взрывным» стилем игры, обусловленным высокой стартовой скоростью и умением изменять в нужный момент темп игры на скорости. Кроме того, Джордана отличает высокий уровень самоотдачи — в ответственных матчах ему практически всегда доверяли право решающего броска.

Вот почему Джордан мой кумир.

4,6(15 оценок)
Ответ:

Условности и упрощения на чертежах

Для того чтобы существенно упростить графические работы, производимые при составлении чертежей, и значительно сократить их объем, Единой системой конструкторской документации предусмотрено использование различных упрощений, обозначений и условных изображений.

По сути дела, упрощения и условности на чертежах представляют собой некий свод правил, которые позволяют сделать все чертежи более понятными и простыми, а также значительно сократить то количество времени, которое затрачивается на их выполнение.

В тех случаях, если сечения, разрезы или виды представляют собой симметричные фигуры, допускается изображать только половину изображения, которое ограничивается осевой линией. Кроме того, можно вычерчивать и немного более половины изображений, и в этом случае необходимо проводить линии обрыва.

Если на изображаемом, на чертеже предмете имеется несколько отдельных элементов, расположенных равномерно друг по отношению к другу и являющихся одинаковыми, то допускается показать только один или два из них, а остальные можно обозначить условно или же упрощенно.

4,6(24 оценок)
Это интересно:
Новые ответы от MOGZ: Математика
logo
Вход Регистрация
Что ты хочешь узнать?
Спроси Mozg
Открыть лучший ответ