М
Молодежь
К
Компьютеры-и-электроника
Д
Дом-и-сад
С
Стиль-и-уход-за-собой
П
Праздники-и-традиции
Т
Транспорт
П
Путешествия
С
Семейная-жизнь
Ф
Философия-и-религия
Б
Без категории
М
Мир-работы
Х
Хобби-и-рукоделие
И
Искусство-и-развлечения
В
Взаимоотношения
З
Здоровье
К
Кулинария-и-гостеприимство
Ф
Финансы-и-бизнес
П
Питомцы-и-животные
О
Образование
О
Образование-и-коммуникации
yohoho365
yohoho365
27.10.2020 05:29 •  Математика

1. найти наибольший общий делитель чисел: а) 4620 и 5460; б) 112, 124 и 420.

👇
Ответ:
Lesha152
Lesha152
27.10.2020
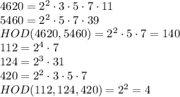
4620=2^2\cdot3\cdot5\cdot7\cdot11
\\\
5460=2^2\cdot5\cdot7\cdot39
\\\
HOD(4620, 5460)=2^2\cdot5\cdot7=140
\\\
112=2^4\cdot7
\\\
124=2^3\cdot31
\\\
420=2^2\cdot3\cdot5\cdot7
\\\
HOD(112, 124, 420)=2^2=4
4,5(84 оценок)
Открыть все ответы
Ответ:
dimailiysovдима
dimailiysovдима
27.10.2020

Пешеходы должны двигаться по тротуарам, пешеходным дорожкам, велопешеходным дорожкам, а при их отсутствии — по обочинам. Пешеходы, перевозящие или переносящие громоздкие предметы, а также лица, передвигающиеся в инвалидных колясках без двигателя, могут двигаться по краю проезжей части, если их движение по тротуарам или обочинам создает помехи для других пешеходов.

При отсутствии тротуаров, пешеходных дорожек, велопешеходных дорожек или обочин, а также в случае невозможности двигаться по ним пешеходы могут двигаться по велосипедной дорожке или идти в один ряд по краю проезжей части (на дорогах с разделительной полосой — по внешнему краю проезжей части).

При движении по краю проезжей части пешеходы должны идти навстречу движению транспортных средств. Лица, передвигающиеся в инвалидных колясках без двигателя, ведущие мотоцикл, мопед, велосипед, в этих случаях должны следовать по ходу движения транспортных средств.

При переходе дороги и движении по обочинам или краю проезжей части в темное время суток или в условиях недостаточной видимости пешеходам рекомендуется, а вне населенных пунктов пешеходы обязаны иметь при себе предметы со световозвращающими элементами и обеспечивать видимость этих предметов водителями транспортных средств.

4,7(98 оценок)
Ответ:
Sherlok2006
Sherlok2006
27.10.2020

Написано без запятых, мало что понятно. Напишу, как понял.

1) Если предмет красный, то он круглый.

2) Если предмет прямоугольный, то он синий.

3) Предмет либо красный, либо белый.

4) Если предмет белый, то он прямоугольный.

Из 3) ясно, что предмет либо красный, либо белый.

Если он красный, то из 1) он круглый. Например, красный воздушный шарик.

Если он белый, то из 4) он прямоугольный.

Но если он прямоугольный, то из 2) он синий.

Значит, предмет одновременно белый и синий, и при этом прямоугольный.

Например, гжельская шкатулка. Но это шутка. У нас сказано, что предмет либо красный, либо белый. Он не может быть сразу и белым и синим.

ответ: предмет красный и круглый. Красный воздушный шарик.

4,5(80 оценок)
Это интересно:
Новые ответы от MOGZ: Математика
logo
Вход Регистрация
Что ты хочешь узнать?
Спроси Mozg
Открыть лучший ответ