М
Молодежь
К
Компьютеры-и-электроника
Д
Дом-и-сад
С
Стиль-и-уход-за-собой
П
Праздники-и-традиции
Т
Транспорт
П
Путешествия
С
Семейная-жизнь
Ф
Философия-и-религия
Б
Без категории
М
Мир-работы
Х
Хобби-и-рукоделие
И
Искусство-и-развлечения
В
Взаимоотношения
З
Здоровье
К
Кулинария-и-гостеприимство
Ф
Финансы-и-бизнес
П
Питомцы-и-животные
О
Образование
О
Образование-и-коммуникации
эма24
эма24
11.10.2020 07:51 •  Математика

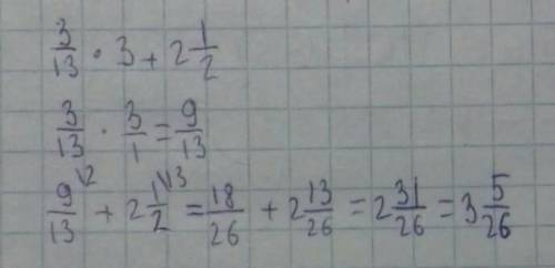
3/13*3+2 1/2 очень подробно

👇
Ответ:
lour1
lour1
11.10.2020

думаю правильно ведь я  щитала сама


3/13*3+2 1/2 очень подробно
4,5(16 оценок)
Ответ:
zhienalinaadel
zhienalinaadel
11.10.2020

3.19230769231 это правильно

4,6(12 оценок)
Открыть все ответы
Ответ:
marina22190
marina22190
11.10.2020
Дымковская игрушка самая лучшая!
На Руси было и есть много народных промыслов. Мой любимый народный промысел — дымковская игрушка. Это название происходит от Дымковской слободы. Сначала дымковские мастера делали глиняные свистульки. От свистулек они перешли к изготовлению глиняных игрушек, которые были ярко разукрашены. Чаще всего дымковские игрушки изображают людей и животных. Особенно мне нравятся игрушки-животные, которые всегда вызывают улыбку— такие они забавные, жизнерадостные, весёлые. Дымковские игрушки — это настоящие произведения искусства. Мастера, создающие их, — талантливые и добрые люди, а сами рукотворные изделия являются носителями духовных ценностей. Эти милые игрушки можно увидеть сегодня не только на прилавках магазинов народных промыслов, но и на полках в наших квартирах. От таких игрушек становится теплее на душе. Дымковские игрушки напоминают мне детские рисунки: они такие же яркие, пёстрые, радостные, весёлые, жизнеутверждающие. 

Эти изделия вызывают у меня чувство гордости за талантливых русских мастеров. Летом мы с мамой отдыхали у друзей на Северном Кавказе. На следующий день после нашего приезда я проснулась рано утром и выглянула в окно. Я не смогла оторваться от той чудесной картины, которую увидела. Пейзаж был великолепен! Вся степь сияла. Свежий утренний ветерок шевелил бескрайний ковёр степных трав, которые при этом переливались всеми цветами радуги. Начинался новый день. Солнце поднималось всё выше и выше. И тут я увидела жемчужину Кавказа — Эльбрус. Две снежные шапки возвышались над степью. Не случайно в народе его прозвали двуглавым белым богом. Кажется, что весь Кавказ склонился перед его мудростью и сединами. Даже величественная безмолвная степь лежала у его ног. Была ни с чем не сравнимая тишина. По небу плавно плыли облака, и казалось, что они задевают вершины Эльбруса. А вечером неожиданно набежали чёрные тучи и начался ливень. Крупные капли дождя точно танцевали лезгинку. Дождь изменил пейзаж за окном: горы окутались туманом. Это была неповторимая, удивительная картина, которая запомнилась мне надолго.
4,6(41 оценок)
Ответ:
Препод007
Препод007
11.10.2020
Что такое искусство?
Его проявление мы видим повсюду, его результаты буквально окружают нас. Это мебель, посуда, одежда, техника, здания, скульптуры, картины, кино, музыка и многое, многое другое.
Ярчайшим примером творчества в науке, в искусстве и не только я считаю Леонардо да Винчи.
Этот поистине универсальный человек был скульптором, архитектором, живописцем, естествоиспытателем, анатомом, музыкантом, изобретателем и писателем.
Он, вероятно, изобрел велосипед, танк, парашют, прожектор и даже робота. А его полотна украшают стены таких музееа, как Лувр.
Леонардо был невероятно творческой личностью, чем продолжает вдохновлять и сегодня.
4,8(77 оценок)
Это интересно:
Новые ответы от MOGZ: Математика
logo
Вход Регистрация
Что ты хочешь узнать?
Спроси Mozg
Открыть лучший ответ