М
Молодежь
К
Компьютеры-и-электроника
Д
Дом-и-сад
С
Стиль-и-уход-за-собой
П
Праздники-и-традиции
Т
Транспорт
П
Путешествия
С
Семейная-жизнь
Ф
Философия-и-религия
Б
Без категории
М
Мир-работы
Х
Хобби-и-рукоделие
И
Искусство-и-развлечения
В
Взаимоотношения
З
Здоровье
К
Кулинария-и-гостеприимство
Ф
Финансы-и-бизнес
П
Питомцы-и-животные
О
Образование
О
Образование-и-коммуникации

Решить дифференциальное уравнение
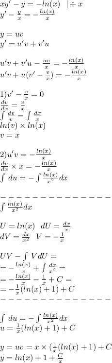
xy'-y=-lnx

👇
Ответ:
anigrigoryan01
anigrigoryan01
21.11.2021

xy' - y = - ln(x) \: \: \: | \div x \\ y' - \frac{y}{x} = - \frac{ ln(x) }{x} \\ \\ y = uv \\ y' = u'v + v'u \\ \\ u'v + v'u - \frac{uv}{x} = - \frac{ ln(x) }{x} \\ u'v + u(v' - \frac{v}{x} ) = - \frac{ ln(x) }{x} \\ \\ 1)v' - \frac{v}{x} = 0 \\ \frac{dv}{dx} = \frac{v}{x} \\ \int\limits \frac{dv}{v} = \int\limits \frac{dx}{x} \\ ln(v) \times ln(x) \\ v = x \\ \\ 2) u'v = - \frac{ ln(x) }{x} \\ \frac{du}{dx} \times x = - \frac{ ln(x) }{x} \\ \int\limits \: du = - \int\limits\frac{ ln(x) }{ {x}^{2} } dx \\ \\ - - - - - - - - - - - - - - \\ \int\limits \frac{ ln(x) }{ {x}^{2} } dx \\ \\ U = ln(x) \: \: \: dU = \frac{dx}{x} \\ dV = \frac{dx}{ {x}^{2} } \: \: \: V = - \frac{1}{x} \\ \\ UV - \int\limits \: VdU = \\ = - \frac{ ln(x) }{x} + \int\limits \frac{dx}{ {x}^{2} } = \\ = - \frac{ ln(x) }{x} - \frac{1}{x} +C = \\ = - \frac{1}{x} (ln(x) + 1) + C \\ - - - - - - - - - - - - - - \\ \\ \int\limits \: du = - \int\limits \frac{ ln(x) }{ {x}^{2} } dx \\ u = \frac{1}{x} ( ln(x) + 1) + C \\ \\ y = uv = x \times ( \frac{1}{x} ( ln(x) + 1) + C\\ y = ln(x) + 1 + \frac{ C }{x}

общее решение

4,8(76 оценок)
Открыть все ответы
Ответ:
Macsum204
Macsum204
21.11.2021

1. Достоверное. Достоверным называют событие которое обязательно произойдёт в результате данного действия.

2.Вероятность невозможного события равна 0.

3.Вероятность достоверного события равна 1.

4.Вероятность любого события заключена в пределах от 0 до 1: 0<- P(A) <- 1.

5.Равновозможные события.

6. 0 <- p <- 1

7. А и В называются несовместными, еслипри данном испытании появление одного из них исключает появление другогособытия.

8. 1 - P(A)

9.Суммой событий А и В называется событие А + В, которое наступает тогда и только тогда, когда наступает хотя бы одно из событий: А или В.

10.Произведением событий A и B называется событие, состоящее из всех элементарных событий, принадлежащих одновременно событиям A и B. Обозначается AB.

Тыкни лучший ответ

4,6(44 оценок)
Ответ:
sok6
sok6
21.11.2021
          Некто спросил у учителя: "Скажи мне, сколько у тебя учеников, ибо хочу отдать тебе в учение своего сына." Учитель ответил: "Если придёт ещё учеников столько, сколько имею, и полстолько, и четверть столько, и твой сын, то будет у меня 100 учеников. " Сколько учеников у учителя?
          Некто взял из сокровищницы 1/13 богатств. Из того, что осталось, другой взял 1/17 богатств. После этого осталось лишь 192 монеты. Сколько монет было в сокровищнице изначально?
          Приходит пастух с 70 быками. Его спрашивают:
- Какую часть своих быков ты привёл?
Пастух отвечает:
- Я привёл 2/3 от трети своих быков.
Сколько было быков у пастуха.
4,7(66 оценок)
logo
Вход Регистрация
Что ты хочешь узнать?
Спроси Mozg
Открыть лучший ответ