М
Молодежь
К
Компьютеры-и-электроника
Д
Дом-и-сад
С
Стиль-и-уход-за-собой
П
Праздники-и-традиции
Т
Транспорт
П
Путешествия
С
Семейная-жизнь
Ф
Философия-и-религия
Б
Без категории
М
Мир-работы
Х
Хобби-и-рукоделие
И
Искусство-и-развлечения
В
Взаимоотношения
З
Здоровье
К
Кулинария-и-гостеприимство
Ф
Финансы-и-бизнес
П
Питомцы-и-животные
О
Образование
О
Образование-и-коммуникации
irinagerasimova1
irinagerasimova1
17.09.2021 02:51 •  Математика

Математиеа рівняння 6 клас


Математиеа рівняння 6 клас

👇
Ответ:
matter2
matter2
17.09.2021

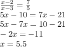
\frac{x - 2}{x - 3} = \frac{7}{5 } \\ 5x - 10 = 7x - 21 \\ 5x - 7x = 10 - 21 \\ - 2x = - 11 \\ x = 5.5

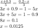
\frac{x + 0.3}{5} = \frac{0.2 - x}{3} \\ 3x + 0.9 = 1 - 5x \\ 3x + 5x = 1 - 0.9 \\ 8x = 0.1 \\ x = 0.0125

\frac{x - 5}{x + 3} = \frac{9}{7} \\ 7x - 35 = 9x + 27 \\ 7x - 9x = 27 + 35 \\ - 2x = 62 \\ x = - 31

\frac{x - 2}{3} = \frac{x + 2}{5} \\ 5x - 10 = 3x + 6 \\ 5x - 3x = 1 0 + 6 \\ 2x = 16 \\ x = 8

\frac{x - 1}{5} = \frac{x + 5}{7} \\ 7x - 7 = 5x + 25 \\ 7x - 5x = 25 + 7 \\ 2x = 32 \\ x = 16

0.3(8 - 3x) = 3.2 - 0.8(x - 7) \\ 2.4 - 0.9x = 3.2 - 0.8x + 5.6 \\ - 0.9x + 0.8x = 5.6 + 3.2 - 2.4 \\ - 0.1x = 6.4 \\ x = - 64

4,4(24 оценок)
Открыть все ответы
Ответ:
nurgi12345
nurgi12345
17.09.2021
1. Общие опасности при работе: ранение глаз отлетающей стружкой; ранение рук при прикосновении их к обрабатываемой детали; ранение рук при неправильном обращении с резцом; ранение осколками плохо склеенной, косослойной, суковатой древесины; 2. Правила безопасности перед началом работы: правильно наденьте спецодежду, застегните обшлага рукавов на пуговицы, избегайте завязывать их тесемкой, спрячьте волосы под головной убор; проверите наличие и надежность крепления защитных ограждений и соединения защитного заземления (зануления) с корпусом станка; расположите инструменты в определенном порядке на приставочной тумбочке или на особом при уберите все лишнее со станка; проверите, нет ли в заготовке сучков и трещин, обстругайте заготовку до нужной формы, после чего надежно закрепите заготовку во вращающихся центрах на станке; установите подручник с зазором 2-3 мм от обрабатываемой детали и закрепите его по высоте центровой линии заготовки; проверите исправность режущего инструмента и правильность его заточки; проверите работу станка на холостим ходу, также исправность пусковой коробки путем включения и выключения ее кнопок; перед самым началом работы наденьте защитные очки; 3.Правила безопасности во время работы: производите подачу режущего инструмента на материал только после того, как рабочий вал наберет полную скорость вращения; подавайте инструмент плавно, без сильного нажима; своевременно подвигайте подручник к обрабатываемой детали, не допуская увеличения зазора; во избежание травм во время работы на станке: - не наклоняйте голову близко к станку; - не принимайте и не передавайте предметы через работающий станок; - не замеряйте обрабатываемую деталь только после полной остановки ее вращения; - не останавливайте станок путем торможения рукой обрабатываемой детали; - не отходите от станка, не выключив его; 4. Правила безопасности после окончания работы: остановите станок; уложите инструменты на свои места; удалите стружку со станка при щетки. Не сдувайте стружку ртом и не сметайте ее рукой; сдайте станок дежурному или учителю; приведите в порядок себя;
4,7(8 оценок)
Ответ:
alexvelova
alexvelova
17.09.2021
Уму и сердцу язык твой проводник,Без него попадёшь ты в тупик.
Язык твой – жизнь твоя, твои мечты,
Ты без него уже не ты.

Язык твой как родная мать,
Которую не унижать нельзя, не оскорблять.
Его ты должен, друг, благодарить
За то, что правильно умеешь говорить.

Родной язык – твоя душа, твой мир, твой луч,
Люби его за то, что он могуч.
Язык твой – щит, твоё общенье
Не допусти к нему пренебреженья.

Не дай повесить родному языку чужой ярлык.
Наследие твоё – твоя земля и твой язык
И искажать его невеждам не давай,
Об этом ты, дружок, не забывай

устроит?
4,4(25 оценок)
Это интересно:
Новые ответы от MOGZ: Математика
logo
Вход Регистрация
Что ты хочешь узнать?
Спроси Mozg
Открыть лучший ответ