М
Молодежь
К
Компьютеры-и-электроника
Д
Дом-и-сад
С
Стиль-и-уход-за-собой
П
Праздники-и-традиции
Т
Транспорт
П
Путешествия
С
Семейная-жизнь
Ф
Философия-и-религия
Б
Без категории
М
Мир-работы
Х
Хобби-и-рукоделие
И
Искусство-и-развлечения
В
Взаимоотношения
З
Здоровье
К
Кулинария-и-гостеприимство
Ф
Финансы-и-бизнес
П
Питомцы-и-животные
О
Образование
О
Образование-и-коммуникации
lenyanikiforovp07x7k
lenyanikiforovp07x7k
05.05.2023 19:25 •  Математика

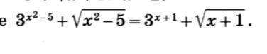
решить уравнение. В ответе должно получиться 3


решить уравнение. В ответе должно получиться 3

👇
Открыть все ответы
Ответ:
никита20029
никита20029
05.05.2023
Казань один из наиболее древних городов Российской Федерации, имеющих уникальную историю и архитектуру. В 2005 году Казань отметила своё тысячелетие. Казань славится уникальным синтезом Востока и Запада, ведь именно в этом городе уже многие сотни лет мирно живут люди различных этнических и религиозных групп. Казань расположена на левом берегу р. Волги, при впадении в неё р. Казанки. Благодаря выгодному географическому расположению, Казань издавна была торговым посредником между Востоком и Западом. Согласно официальной версии, принятой в настоящее время, город был основан не менее 1000 лет назад. Основанием для такой датировки является найденная во время раскопок на территории Казанского кремля чешская монета, чеканки 929—930 годов, а также другие артефакты (накладка венгерского типа, женские бусы). Историческим символом Казани является мифическое драконоподобное существо Зилант, часто упоминаемое в легендах.
4,8(100 оценок)
Ответ:
danya13112004
danya13112004
05.05.2023
Казань один из наиболее древних городов Российской Федерации, имеющих уникальную историю и архитектуру. В 2005 году Казань отметила своё тысячелетие. Казань славится уникальным синтезом Востока и Запада, ведь именно в этом городе уже многие сотни лет мирно живут люди различных этнических и религиозных групп. Казань расположена на левом берегу р. Волги, при впадении в неё р. Казанки. Благодаря выгодному географическому расположению, Казань издавна была торговым посредником между Востоком и Западом. Согласно официальной версии, принятой в настоящее время, город был основан не менее 1000 лет назад. Основанием для такой датировки является найденная во время раскопок на территории Казанского кремля чешская монета, чеканки 929—930 годов, а также другие артефакты (накладка венгерского типа, женские бусы). Историческим символом Казани является мифическое драконоподобное существо Зилант, часто упоминаемое в легендах.
4,7(37 оценок)
Это интересно:
Новые ответы от MOGZ: Математика
logo
Вход Регистрация
Что ты хочешь узнать?
Спроси Mozg
Открыть лучший ответ