М
Молодежь
К
Компьютеры-и-электроника
Д
Дом-и-сад
С
Стиль-и-уход-за-собой
П
Праздники-и-традиции
Т
Транспорт
П
Путешествия
С
Семейная-жизнь
Ф
Философия-и-религия
Б
Без категории
М
Мир-работы
Х
Хобби-и-рукоделие
И
Искусство-и-развлечения
В
Взаимоотношения
З
Здоровье
К
Кулинария-и-гостеприимство
Ф
Финансы-и-бизнес
П
Питомцы-и-животные
О
Образование
О
Образование-и-коммуникации
mssalina5
mssalina5
25.08.2022 20:45 •  Математика

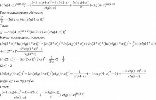
Y=(ctg 4x)^ln(2x)
найти производную​

👇
Ответ:
unitolog
unitolog
25.08.2022

Відповідь:

Держи

Покрокове пояснення:


Y=(ctg 4x)^ln(2x)найти производную​
4,8(8 оценок)
Открыть все ответы
Ответ:
fffff2098
fffff2098
25.08.2022
Этика – учение о морали, нравственности. Она дает ответ на вопрос, что мы должны делать, чтобы совершать правильные, нравственные поступки. Этика не может снять с личности ответственность за принимаемые решения. за этику нельзя спрятаться, на нее можно опереться. Этика становится действенной в той степени, в какой она получает продолжение в нравственной активности тех, кто имеет с ней дело, изучает ее. В противном случае она бесполезна и может вызвать лишь раздражение и досаду. Общение с людьми – это наука и искусство. Здесь важны и природные и образование. Именно поэтому тот, кто хочет достичь успеха во взаимодействии с другими людьми, должен учиться этому, включая этику и психологию делового общения, а также используя социально-психологические тренинги по общению.Этика как наука исследует, что в жизни и в мире обладает для человека ценностью, ибо этическое поведение состоит в осуществлении этических ценностей. Этика пробуждению оценивающего сознания. Этические ценности, значение которых раскрывается через воспитание, этическое чувство, образуют систему, базис которой образуют бессознательно осуществляемые жизненные ценности (воля к жизни, потребность в пище, половая потребность и т.д.), а на вершине располагаются высшие ценности.В зависимости от принадлежности той или иной этической школе, от задач, стоящих перед этикой как наукой и учебной дисциплиной, этика структурируется по-разному Таким образом,без этики человек в наше время обойтись не может
4,4(3 оценок)
Ответ:
Aemond
Aemond
25.08.2022
А) 3                                                                                                                           б)1/33                                                                                                                        в)1 целая 1/2                                                                                                             г)15 целых                                                                                                                 д)12целых 1/5                                                                                                            е)1 целая 1/2
4,5(32 оценок)
Это интересно:
Новые ответы от MOGZ: Математика
logo
Вход Регистрация
Что ты хочешь узнать?
Спроси Mozg
Открыть лучший ответ