М
Молодежь
К
Компьютеры-и-электроника
Д
Дом-и-сад
С
Стиль-и-уход-за-собой
П
Праздники-и-традиции
Т
Транспорт
П
Путешествия
С
Семейная-жизнь
Ф
Философия-и-религия
Б
Без категории
М
Мир-работы
Х
Хобби-и-рукоделие
И
Искусство-и-развлечения
В
Взаимоотношения
З
Здоровье
К
Кулинария-и-гостеприимство
Ф
Финансы-и-бизнес
П
Питомцы-и-животные
О
Образование
О
Образование-и-коммуникации

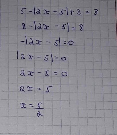
5. Решите уравнение:

5-|2х-5|+3=8

У МЕНЯ СОЧ​

👇
Ответ:
ulye
ulye
21.01.2021

удачи тебе получи 5 ♥️


5. Решите уравнение:5-|2х-5|+3=8 У МЕНЯ СОЧ​
4,8(7 оценок)
Открыть все ответы
Ответ:
Ovaliza
Ovaliza
21.01.2021

1 ЗАДАЧА:

1) 10% : 100%  =  0,1 (часть) от массы печенья составляют белки.

 Всего печенья 400 г и 0,1 часть от этой массы составляют белки.

 Чтобы найти массу углеводов, нужно массу печенья умножить на 0,1 часть.

2) 400 * 0,1  =  40 (г) белков в печенье, массой 400 г.

3) 16% : 100%  =  0,16 (часть) от массы печенья составляют жиры.

4) 400 * 0,16  =  64 (г) жиров в печенье, массой 400 г.

5) 60% : 100%  =  0,6 (часть) от массы печенья составляют углеводы.

6) 400 * 0,6  =  240 (г) углеводов в печенье, массой 400 г.

 2 ЗАДАЧА:

1) Выясним сколько кг муки получится при 4 ц пшеницы, если известно, что ее выход составляет 80%.

4 - 100%

Х - 80%;

Х = 4 * 80 / 100;

Х = 3,28 ц.

2) Узнаем сколько муки получится при 5 ц ржи, если известно, что ее выход составляет 75%.

5 - 100%

Х - 75%;

Х = 5 * 75 / 100;

Х = 3,75 ц.

3,28 < 3,75

ответ: при 4 ц пшеницы и 5 ц ржи пшеничной муки получится меньше.

3 ЗАДАЧА:

Для того, чтобы найти на сколько уменьшилась масса гороха при очистке и сколько мы получили зеленого гороха мы составим и решим пропорцию.

Начнем решение задачи с анализа условия. Нам известно, что после очистки гороха от стручков его масса уменьшилась на 55 %. Так же нам известно, что у очистили 1600 грамм гороха.

Вес гороха в стручках примем за 100 %. А за x грамм примем вес стручков после очистки.

1600 грамм гороха — 100 %;

x грамм стручков — 55 %;

1600/x = 100/55;

x = (1600 * 55)/100 = 88000/100 = 880 грамм стручков.

1600 - 880 = 720 грамм вес зеленого горошка.

4 ЗАДАЧА:

Находим на сколько понизилась цена в рублях. 300 * 15 / 100 = 45 рублей.

   Теперь находим новую цену. 300 - 45 = 255 рублей

4,5(20 оценок)
Ответ:

Пошаговое объяснение:

1 . a )  A( x ) = 8x⁵- 7x⁴+ 6x³- 5x² + 4x - 3 ;   B(x )= x - 1 ;

A( x )= ( 8x⁴+ x³+ 7x²+ 2x + 6 )( x - 1 ) + 3 ;  R( x ) = 3 ;

    б)  A( x ) = 3x⁴ - 6x² - 15 ;    B( x ) = x - 2 ;

A( x ) = ( 3x³+ 6x²+ 6x + 12 )( x - 2 ) + 9 ;     R( x ) = 9 ;

2 .  a)  A( x ) = 5x³ - 4x² - 12x - 3 ;  B( x ) = x + 1 ;

R( x ) = A( - 1 ) = 5*( -1)³ - 4*(- 1 )² - 12*(- 1 ) - 3 = 0 ;     R( x ) = 0 ;

     б )  A( x ) = ( x - 1 )⁹ ;    B( x )= x - 2 ;   R( x ) = A( 2 ) = ( 2 - 1 )⁹ = 1⁹ = 1 ;

R( x ) = 1 .

 

4,4(64 оценок)
Это интересно:
Новые ответы от MOGZ: Математика
logo
Вход Регистрация
Что ты хочешь узнать?
Спроси Mozg
Открыть лучший ответ