М
Молодежь
К
Компьютеры-и-электроника
Д
Дом-и-сад
С
Стиль-и-уход-за-собой
П
Праздники-и-традиции
Т
Транспорт
П
Путешествия
С
Семейная-жизнь
Ф
Философия-и-религия
Б
Без категории
М
Мир-работы
Х
Хобби-и-рукоделие
И
Искусство-и-развлечения
В
Взаимоотношения
З
Здоровье
К
Кулинария-и-гостеприимство
Ф
Финансы-и-бизнес
П
Питомцы-и-животные
О
Образование
О
Образование-и-коммуникации
смурфик15
смурфик15
25.12.2021 09:04 •  Математика

Раскройте скобки и приведите подобные ​


Раскройте скобки и приведите подобные ​

👇
Ответ:
lesikon11
lesikon11
25.12.2021

ответ на картинке

Пошаговое объяснение:


Раскройте скобки и приведите подобные ​
4,7(70 оценок)
Ответ:
romanesterov2
romanesterov2
25.12.2021

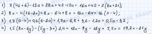
1) 7(4а + 6) - 12а = 28а + 42 - 12а = 16а + 42

2) 8х - 4(16 - 2х) = 8х - 64 + 8х = 16х - 64

3) 1,7(а - 4) + 0,6(6 - 2а) = 1,7а - 6,8 + 3,6 - 1,2а = 0,5а - 3,2

4) 1,5(8х - 6у) - (5у - 3х) × 2,4 = 12х - 9у - 12у + 7,2х = 19,2х - 21у

4,4(23 оценок)
Открыть все ответы
Ответ:
asel07071
asel07071
25.12.2021
Mein Lieblingstier ist die Katze. Seit meiner kindheit, ich wollte eine Katze. Und endlich ist mein Traum wahr werden - bei mir zu Hause erschien siamesische Katze Cuza. Bei Kusi hellbraun Fang, dunkle Ohren, die Pfoten und die langen, gestreiften Schwanz; flexible langgestreckten Körper, große, Runde Kopf, auf den Schnauzen borstig Schnurrbart, BART und leuchtend Blaue Augen. Augenfarbe ändert sich, wenn er wütend ist oder droht, die Pupillen werden dann rot, dann grün. Die Ohren haben eine Katze immer auf der Hut; Sie fangen die geringste Geräusch.
Kuzma - Tier launenhaft. Wenn er gute Laune, die er spielt, lässt sich streicheln, löst anderen Tier gibt es aus seiner Schüssel, aber wenn er schlechte Laune hat, er warnt vor diesem eigentümlichen мяуканьем, dann ist es besser, nicht zu berühren. Kuzya ernst, das bojzowyj Katze. Als wir im Dorf, er raufte sich mit allen Katzen. не знаю как будет- мяуканьем.
4,4(6 оценок)
Ответ:
Vika20032412
Vika20032412
25.12.2021
 Nos amis les bêtes

Quand on se promène dans les rues de Paris, on voit très vite que les Français aiment les animaux: il faut faire attention à ne pas marcher dans une crotte de chien !

Cette pollution coûte cher à la ville de Paris qui essaie d'éduquer... Les maîtres! Avec plus de 7 millions de chiens et de chats, la France occupe la première position en Europe pour le nombre d'animaux domestiques. Un Français sur deux a un animal et c'est dans le nord de la France qu'on trouve le plus grand nombre de propriétaires de chiens: ils ont en général une famille, une maison et un jardin...
Dans les grandes villes, où il y a aussi beaucoup de chiens, nos amis à quatre pattes ont en plus un rôle social: dans la rue les personnes se parlent plus facilement quand elles promènent leur chien. Quelle est la capitale des chats en France? Avignon : 36 % de ses habitants ont un chat!
4,5(32 оценок)
Это интересно:
Новые ответы от MOGZ: Математика
logo
Вход Регистрация
Что ты хочешь узнать?
Спроси Mozg
Открыть лучший ответ