
1) 0,2
2) 68,3
Пошаговое объяснение:
1) (2,98-1,58):7 = 1,4 : 7 = 0,2
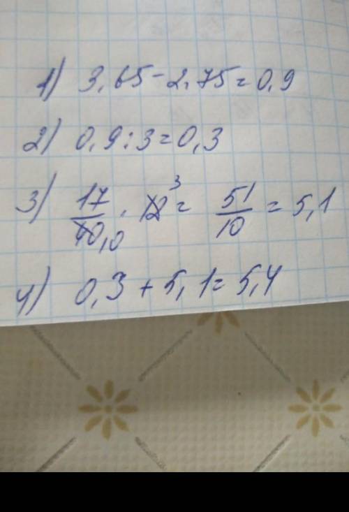
2) (3,65-2,75):3 + 17/48 * 12 = 0,9 : 3 + 68 = 0,3 + 68 = 68,3
ответ:
пошаговое объяснение:
если укладывать в ряд по 10 плиток, то для квадратной площадки плиток не хватает.
значит плиток меньше, чем 100 штук.
при укладывании по 8 плиток в неполном ряду может быть только 7 плиток, т.к. при укладывании по 9 плиток получается неполный ряд, в котором на 6 плиток меньше. то есть 1 плитка.
нужно найти такое число меньше 100, которое при делении на 8 даёт остаток 7, а при делении на 9 - остаток 1. это число 55.
55: 8 = 6 (ост. 7)
55: 9 = 6 (ост. 1)
ответ: 55 плиток.
Пошаговое объяснение:
Можно лушчий ответ !