М
Молодежь
К
Компьютеры-и-электроника
Д
Дом-и-сад
С
Стиль-и-уход-за-собой
П
Праздники-и-традиции
Т
Транспорт
П
Путешествия
С
Семейная-жизнь
Ф
Философия-и-религия
Б
Без категории
М
Мир-работы
Х
Хобби-и-рукоделие
И
Искусство-и-развлечения
В
Взаимоотношения
З
Здоровье
К
Кулинария-и-гостеприимство
Ф
Финансы-и-бизнес
П
Питомцы-и-животные
О
Образование
О
Образование-и-коммуникации
Liza16052006
Liza16052006
24.11.2020 22:20 •  Математика

Математика тжб 6 класс 3-тоқсан​

👇
Ответ:
arsenenkodiana6
arsenenkodiana6
24.11.2020

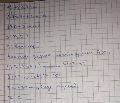
Міні 7 есеп симайм қалды сорри осыма

Пошаговое объяснение:

Осы болса лайк басшы ☹️❤


Математика тжб 6 класс 3-тоқсан​
Математика тжб 6 класс 3-тоқсан​
Математика тжб 6 класс 3-тоқсан​
4,6(8 оценок)
Открыть все ответы
Ответ:
energo5165
energo5165
24.11.2020
Сара́тов —  на юго-востоке европейской части , входящий в муниципальное образование «Город Саратов», имеющее статус . Крупный культурный, экономический и образовательный центр . Входит в двадцатку крупнейших городов России, не являясь городом-миллионером. Административный центр более чем миллионной .Находится на правом берегу , примерно на равном расстоянии от  (389 км) и  (442 км), в 858 км к юго-востоку от Москвы.Основан как сторожевая крепость для охраны южных рубежей Российского государства в 1590 году, в царствование. Во второй половине  — крупный перевалочный пункт и центр торговли рыбой и солью, а с  — один из центров торговли зерном. Губернский город с 1780 года, в начале  — крупнейший по численности жителей город на Волге. С 1909 года действует 
4,8(70 оценок)
Ответ:
nikita577344
nikita577344
24.11.2020

y-денег у Кати                                                                                                  x-стоимость одного значка                                                                              6x=y+15                                                                                                           4x=y-5                                                                                                              из первого уравнения y=6x-15                                                                          подставляем во второе и получаем x=10.а y=45.                                              ответ:45рублей.

4,8(8 оценок)
Это интересно:
Новые ответы от MOGZ: Математика
logo
Вход Регистрация
Что ты хочешь узнать?
Спроси Mozg
Открыть лучший ответ