М
Молодежь
К
Компьютеры-и-электроника
Д
Дом-и-сад
С
Стиль-и-уход-за-собой
П
Праздники-и-традиции
Т
Транспорт
П
Путешествия
С
Семейная-жизнь
Ф
Философия-и-религия
Б
Без категории
М
Мир-работы
Х
Хобби-и-рукоделие
И
Искусство-и-развлечения
В
Взаимоотношения
З
Здоровье
К
Кулинария-и-гостеприимство
Ф
Финансы-и-бизнес
П
Питомцы-и-животные
О
Образование
О
Образование-и-коммуникации
vladkunets78
vladkunets78
17.10.2020 06:30 •  Математика

Ребят , хотябы по 5 заданий с каждой фотки. даю. Без кидалова ток... до 21:00 надо.


Ребят , хотябы по 5 заданий с каждой фотки. даю. Без кидалова ток... до 21:00 надо.
Ребят , хотябы по 5 заданий с каждой фотки. даю. Без кидалова ток... до 21:00 надо.

👇
Ответ:
korobkovaangelina
korobkovaangelina
17.10.2020

1.

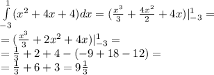
\int\limits^{ 1 } _ { - 3}( {x}^{2} + 4x + 4)dx = ( \frac{ {x}^{3} }{3} + \frac{4 {x}^{2} }{2} + 4x)|^{ 1 } _ { - 3} = \\ = ( \frac{ {x}^{3} }{3} + 2 {x}^{2} + 4x)|^{ 1} _ { - 3} = \\ = \frac{1}{3} + 2 + 4 - ( - 9 + 18 - 12) = \\ = \frac{1}{3} + 6 + 3 = 9 \frac{1}{3}

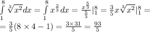
2

\int\limits^{ 8 } _ {1} \sqrt[3]{ {x}^{2} } dx = \int\limits^{ 8} _ {1} {x}^{ \frac{2}{3} }dx = \frac{ {x}^{ \frac{5}{3} } }{ \frac{5}{3} } |^{ 8 } _ {1} = \frac{3}{5}x \sqrt[3]{ {x}^{2} } |^{ 8 } _ {1} = \\ = \frac{3}{5} (8 \times 4 - 1) = \frac{3 \times 31}{5} = \frac{93}{5}

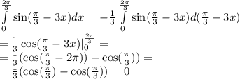
3

\int\limits^{ \frac{2\pi}{3} } _ {0} \sin( \frac{\pi}{3} - 3x )dx = - \frac{1}{3} \int\limits^{ \frac{2\pi}{3} } _ {0} \sin( \frac{\pi}{3} - 3x ) d( \frac{\pi}{3} - 3x) = \\ = \frac{1}{3} \cos( \frac{\pi}{3} - 3x) |^{ \frac{2\pi}{3} } _ {0} = \\ = \frac{1}{3} ( \cos( \frac{\pi}{3} - 2\pi) ) - \cos( \frac{\pi}{3} ) ) = \\ = \frac{1}{3} ( \cos( \frac{\pi}{3} ) - \cos( \frac{\pi}{3} ) ) = 0

4

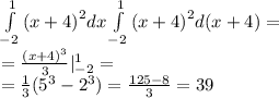
\int\limits^{ 1} _ {-1}(x + 1) {}^{2} dx\int\limits^{1 } _ { - 1} {(x + 1)}^{2} d(x + 1) = \\ = \frac{ {(x + 1)}^{3} }{3} |^{ 1} _ { - 1} = \\ = \frac{1}{3} ( {2}^{3} - 0) = \frac{8}{3}

5

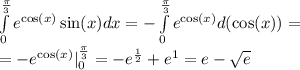
\int\limits^{ \frac{\pi}{3} } _ {0} {e}^{ \cos(x) } \sin(x)dx = - \int\limits^{ \frac{\pi}{3} } _ {0} {e}^{ \cos(x) }d( \cos(x) ) = \\ = - {e}^{ \cos(x) } |^{ \frac{\pi}{3} } _ {0} = - {e}^{ \frac{1}{2} } + {e}^{1} = e - \sqrt{e}

6

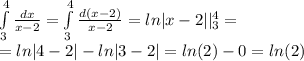
\int\limits^{ 4 } _ {3} \frac{dx}{x - 2} = \int\limits^{ 4 } _ {3} \frac{d(x - 2)}{x - 2} = ln |x - 2| |^{ 4} _ {3} = \\ = ln |4 - 2| - ln |3 - 2| = ln(2) - 0 = ln(2)

7

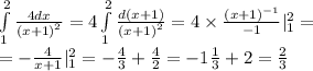
\int\limits^{ 2 } _ {1} \frac{4dx}{ {(x + 1)}^{2} } = 4\int\limits^{ 2 } _ {1} \frac{d(x + 1)}{ {(x + 1)}^{2} } = 4 \times \frac{ {(x + 1)}^{ - 1} }{ - 1} |^{ 2 } _ {1} = \\ = - \frac{4}{x + 1} |^{ 2 } _ {1} = - \frac{4}{3} + \frac{4}{2} = - 1 \frac{1}{3} + 2 = \frac{2}{ 3}

____________________

1

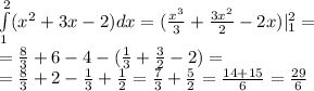
\int\limits^{ 2 } _ {1}( {x}^{2} + 3x - 2)dx = ( \frac{ {x}^{3} }{3} + \frac{3 {x}^{2} }{2} - 2x) | ^{ 2 } _ {1} = \\ = \frac{8}{3} + 6 - 4 - ( \frac{1}{3} + \frac{3}{2} - 2) = \\ = \frac{8}{3} + 2 - \frac{1}{3} + \frac{1}{2} = \frac{7}{3} + \frac{5}{2} = \frac{14 + 15}{6} = \frac{29}{6}

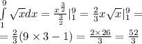
2

\int\limits^{ 9 } _ {1} \sqrt{x} dx = \frac{ {x}^{ \frac{3}{2} } }{ \frac{3}{2} } | ^{ 9 } _ {1} = \frac{2}{3} x \sqrt{x} | ^{9 } _ {1} = \\ = \frac{2}{3} (9 \times 3 - 1) = \frac{2 \times 26}{3} = \frac{52}{3}

3

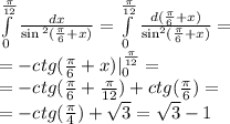
\int\limits^{ \frac{\pi}{12} } _ {0} \frac{dx}{ \sin {}^{2} ( \frac{\pi}{6} + x ) } = \int\limits^{ \frac{\pi}{12} } _ {0} \frac{d( \frac{\pi}{6} + x)}{ \sin^{2}( \frac{\pi}{6} + x ) } = \\ = - ctg( \frac{\pi}{6} + x) |^{ \frac{\pi}{12} } _ {0} = \\ = - ctg( \frac{\pi}{6} + \frac{\pi}{12} ) + ctg( \frac{\pi}{6} ) = \\ = - ctg( \frac{\pi}{4} ) + \sqrt{3} = \sqrt{3} - 1

4

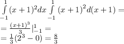
\int\limits^{ 1 } _ { - 2} {(x + 4)}^{2} dx\int\limits^{ 1 } _ { - 2} {(x + 4)}^{2} d(x + 4) = \\ = \frac{ {(x + 4)}^{3} }{3} |^{ 1 } _ { - 2} = \\ = \frac{1}{3} ( {5}^{3} - 2^{3}) =\frac{125-8}{3}= 39

5

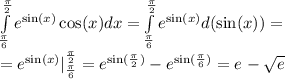
\int\limits^{ \frac{\pi}{2} } _ { \frac{\pi}{6} } {e}^{ \sin(x) } \cos(x) dx = \int\limits^{ \frac{\pi}{2} } _ { \frac{\pi}{6} } {e}^{ \sin(x) }d( \sin(x) ) = \\ = {e}^{ \sin(x) } |^{ \frac{\pi}{2} } _ { \frac{\pi}{6} } = {e}^{ \sin( \frac{\pi}{2} ) } - {e}^{ \sin( \frac{\pi}{6} ) } = {e}^{} - \sqrt{e}

6

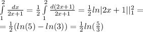
\int\limits^{ 2 } _ {1} \frac{dx}{2x + 1} = \frac{1}{2} \int\limits^{ 2 } _ {1} \frac{d(2x + 1)}{2x + 1} =\frac{1}{2} ln |2x + 1| |^{ 2 } _ {1} = \\ = \frac{1}{2}(ln(5) - ln(3)) = \frac{1}{2} ln( \frac{5}{3} )

7

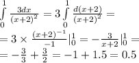
\int\limits^{ 1 } _ {0} \frac{3dx}{ {(x + 2)}^{2} } = 3 \int\limits^{ 1 } _ {0} \frac{d(x + 2)}{ {(x + 2)}^{2} } = \\ = 3 \times \frac{ {(x + 2)}^{ - 1} }{ - 1} |^{ 1 } _ {0} = - \frac{3}{x + 2} | ^{ 1 } _ {0} = \\ = - \frac{3}{3} + \frac{3}{2} = - 1 + 1.5 = 0.5

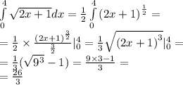
8

\int\limits^{ 4 } _ {0} \sqrt{2x + 1} dx = \frac{1}{2} \int\limits^{ 4} _ {0} {(2x + 1)}^{ \frac{1}{2} } = \\ = \frac{1}{2} \times \frac{ {(2x + 1)}^{ \frac{3}{2} } }{ \frac{3}{2} } |^{ 4 } _ {0} = \frac{1}{3} \sqrt{ {(2x + 1)}^{3} } | ^{ 4 } _ {0} = \\ = \frac{1}{3} ( \sqrt{ {9}^{3} } - 1 ) = \frac{9 \times 3 - 1 }{3} = \\ = \frac{26 }{3}

4,8(21 оценок)
Открыть все ответы
Ответ:
Известный фантаст Станислав Лем как-то сказал, что математика – это язык, на котором Бог или природа иногда говорят с человеком. Он отмечал, что главное её свойство – это возможность дисциплинировать сознание, а потому она важна и гуманитариям, и философам. Кроме того, математик имеет хорошо развитое воображение – в ситуации условности он не теряется и умеет считывать условия, отсекая лишнее. Недаром из тех же математиков получаются непревзойденные юристы – вот где нужна четко выстроенная логика и ясность мышления! А ведь юристы — одна из самых востребованных профессий сегодня. Неудивительно, что наиболее выдающиеся математики были либо прекрасными философами, либо поэтами и литературно одаренными людьми. Как инструмент, математика дает также возможность объективно оценивать ситуацию. И это одно из важнейших ее качеств. Таким образом, математика – это не только и не столько наука вычисления, сколько область, исследующая природу функциональных зависимостей, их влияние на разные стороны жизни и возможности применения на практике. Не формулы в математике имеют значение, а то, что она дает — развитие мышления, воображения и умение видеть природу вещей.
4,4(59 оценок)
Ответ:
ArkhamCity
ArkhamCity
17.10.2020
Система "ребенок - взрослый" превращается, по Д. Б. Эльконин ну, в систему "ребенок - общественный взрослый". Это происходит потому, что для ребенка взрослый - носитель определенных видов общественной по своей природе деятельности. Взрослый осуществляет в деятельности определенные задачи, вступает при этом в разнообразные отношения с другими людьми и сам подчиняется определенным нормам. Эти задачи, мотивы и нормы отношений, существующие в деятельности взрослых, лети усваивают через воспроизведение или моделирование их в собственной деятельности (например, в ролевой игре у дошкольников), конечно, с взрослых. В процессе усвоения этих норм ребенок сталкивается с необходимостью овладения все более сложными, новыми предметными действиями.
4,4(80 оценок)
Это интересно:
Новые ответы от MOGZ: Математика
logo
Вход Регистрация
Что ты хочешь узнать?
Спроси Mozg
Открыть лучший ответ