Вход
Регистрация
Спроси Mozg AI
М
Молодежь
К
Компьютеры-и-электроника
Д
Дом-и-сад
С
Стиль-и-уход-за-собой
П
Праздники-и-традиции
Т
Транспорт
П
Путешествия
С
Семейная-жизнь
Ф
Философия-и-религия
Б
Без категории
М
Мир-работы
Х
Хобби-и-рукоделие
И
Искусство-и-развлечения
В
Взаимоотношения
З
Здоровье
К
Кулинария-и-гостеприимство
Ф
Финансы-и-бизнес
П
Питомцы-и-животные
О
Образование
О
Образование-и-коммуникации
.....больше.....
..меньше..
Лобан1
02.07.2022 08:07 •
Математика
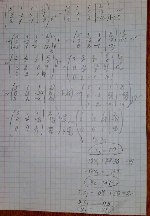
Где я допустила ошибку? В ответе должно быть x1= -31, x2= 107, x3= 50. Надо решить именно методом Гаусса.
👇
Увидеть ответ
Ответ:
Даринка30000
02.07.2022
x₁ = -31, x₂ = 107, x₃ = 50
Пошаговое объяснение:
Решение на фото.
4,8
(48 оценок)
Открыть все ответы
Ответ:
787363
02.07.2022
A) y=x⁵-5x⁴+5x³+1 [-1;2]
y`=5x⁴-20x³+15x²=0
5*x²*(x²-4x+3)=0 |÷5
x²*(x-3)*(x-1)=0
x₁=0 x₂=1 x₃=3∉
y(-1)=(-1)⁵-5*(-1)⁴+5*(-1)³+1=-1-5*-5+1=-10=ymin
y(0)=0⁵-5*0⁴+5*0³+1=1
y(1)=1⁵-5*1⁴+5*1³+1=1-5+5+1=2=ymax
y(2)=2⁵-5*2⁴+5*2³+1=32-80+40+1=-7.
в) ₋₂∫⁰x²*e⁻ˣ/²dx интегрируем по частям:
v=x² dt=e⁻ˣ/²dx
dv=2xdx t=-2*e⁻ˣ/²
∫vdt=vt-∫tdv=x²*(-2*e⁻ˣ/²)-∫(-2*e⁻ˣ/²*2x)dx=-2*x²*e⁻ˣ/²+4*∫(x*e⁻ˣ/²)dx
∫(x*e⁻ˣ/²)dx интегрируем по частям:
v=x dt=e⁻ˣ/²dx
dv=dx t=-2*e⁻ˣ/²
∫vdt=vt-₋∫(-2*e⁻ˣ/²)dx=x*(-2*e⁻ˣ/²)+2*∫(e⁻ˣ/²))dx=-2*x*e⁻ˣ/²-4*e⁻ˣ/² ⇒
-2*x²*e⁻ˣ/²+4(-2*x*e⁻ˣ/²-4*e⁻ˣ/²)=-2*e⁻ˣ/²*(x²+4x+8) |⁰₋₂=
-2*e⁰*(0+0+8)-4*(-2*e¹*((-2)²+4*(-2)+8))=-16-(-2*e*(4-8+8))=
=-16+2*e*4=-16+8*e=8*(e-2)≈5,75.
u) y=x² y=2-x²
x²=2-x²
2x²=2 |÷2
x²=1
x₁=-1 x₂=1
S=₋₁∫¹(2-x²-x²)dx=₋₁∫¹(2-2x²)dx=2*₋₁∫¹(1-x²)dx=2*x-2*x³/3) |¹₋₁=
=2*1-2*1³/3)-(2*(-1)-2*(-1)³/3))=2-2/3-(-2+2/3)=1¹/₃+1¹/₃=2²/₃=8/3.
ответ: S=8/3=2,67 кв. ед.
4,4
(44 оценок)
Ответ:
Брежний
02.07.2022
A) y=x⁵-5x⁴+5x³+1 [-1;2]
y`=5x⁴-20x³+15x²=0
5*x²*(x²-4x+3)=0 |÷5
x²*(x-3)*(x-1)=0
x₁=0 x₂=1 x₃=3∉
y(-1)=(-1)⁵-5*(-1)⁴+5*(-1)³+1=-1-5*-5+1=-10=ymin
y(0)=0⁵-5*0⁴+5*0³+1=1
y(1)=1⁵-5*1⁴+5*1³+1=1-5+5+1=2=ymax
y(2)=2⁵-5*2⁴+5*2³+1=32-80+40+1=-7.
в) ₋₂∫⁰x²*e⁻ˣ/²dx интегрируем по частям:
v=x² dt=e⁻ˣ/²dx
dv=2xdx t=-2*e⁻ˣ/²
∫vdt=vt-∫tdv=x²*(-2*e⁻ˣ/²)-∫(-2*e⁻ˣ/²*2x)dx=-2*x²*e⁻ˣ/²+4*∫(x*e⁻ˣ/²)dx
∫(x*e⁻ˣ/²)dx интегрируем по частям:
v=x dt=e⁻ˣ/²dx
dv=dx t=-2*e⁻ˣ/²
∫vdt=vt-₋∫(-2*e⁻ˣ/²)dx=x*(-2*e⁻ˣ/²)+2*∫(e⁻ˣ/²))dx=-2*x*e⁻ˣ/²-4*e⁻ˣ/² ⇒
-2*x²*e⁻ˣ/²+4(-2*x*e⁻ˣ/²-4*e⁻ˣ/²)=-2*e⁻ˣ/²*(x²+4x+8) |⁰₋₂=
-2*e⁰*(0+0+8)-4*(-2*e¹*((-2)²+4*(-2)+8))=-16-(-2*e*(4-8+8))=
=-16+2*e*4=-16+8*e=8*(e-2)≈5,75.
u) y=x² y=2-x²
x²=2-x²
2x²=2 |÷2
x²=1
x₁=-1 x₂=1
S=₋₁∫¹(2-x²-x²)dx=₋₁∫¹(2-2x²)dx=2*₋₁∫¹(1-x²)dx=2*x-2*x³/3) |¹₋₁=
=2*1-2*1³/3)-(2*(-1)-2*(-1)³/3))=2-2/3-(-2+2/3)=1¹/₃+1¹/₃=2²/₃=8/3.
ответ: S=8/3=2,67 кв. ед.
4,5
(8 оценок)
Это интересно:
С
Стиль-и-уход-за-собой
17.12.2021
Горячее масло: идеальный способ привести ваши волосы в порядок?...
К
Компьютеры-и-электроника
10.11.2021
Как изменить список программ для автозапуска...
К
Кулинария-и-гостеприимство
31.12.2020
Как приготовить пасту Чикен Альфредо, чтобы она получилась вкусной?...
Д
Дом-и-сад
19.11.2020
Как вырастить куст розы из черенка: шаг за шагом...
С
Стиль-и-уход-за-собой
25.11.2020
Как поддерживать здоровье волос: советы и рекомендации от экспертов...
З
Здоровье
30.06.2020
Как обезопасить себя от сна, когда усталость уже на грани...
В
Взаимоотношения
09.04.2021
Как жить одному: советы и рекомендации для современного человека...
Ф
Финансы-и-бизнес
04.12.2021
5 шагов проведения анализа экономической целесообразности...
К
Компьютеры-и-электроника
17.10.2022
Как установить звуковую карту: шаг за шагом...
О
Образование-и-коммуникации
01.12.2021
Как сосредоточиться на выполнении домашней работы: советы для школьников и студентов...
Новые ответы от MOGZ: Математика
bassanova46
24.11.2020
МНЕ НУЖЕН ПОЛНОЕ Решение И ОТВЕТ И НАЧЕРТИТЕ ДА Я ЗНАЮ ЧТО Я ТУПОЙ ЗА РАНЕЕ : ) Начертите и файл присылайте! ...
mashka2511
23.03.2022
Рівняння Розв язати рівняння: 0,7(6у - 5)=0,4(у - 3) - 1,16....
arystan307
04.05.2022
Складіть рівняння до задачі. Перше число в 2,5 рази більше за друге. Якщо від першого числа відняти 10, а до другого додати 5, то отримаємо рівні числа. Знайдіть ці числа....
Disengaliev
04.05.2022
2. Выполните сложение: а) 1,4 + 4,12 г) 2,6 + (-1,1) б) (-7) + (+3,6) д) (-4,9) + (-1,1) в) -7 1/2 (дробь) у) -3 4/5 (дробь) + (-5 3/5 дробь)...
borschteeeeee
26.11.2020
Исло. 1. Первые два числа равны 0,37, а третье на 0,03 меньше первого. Среднее арнфметическое четырёх чисел равно 0,65.Найдите четвёртое число, б) найти размах в) найдите...
karinasoskova
12.12.2020
В первый день турист преодолел 20% намеченного пути, во второй день - 2/7 всего пути, а в третий день - оставшиеся 18 км. Сколько км турист преодолел за 3 дня?...
TheAlexFunny
10.11.2020
Для постройки купальни наняты три плотника. Первый сделал за день 2 1 3 11 всей работы, второй – 22 , третий – 44 . Какую часть работы им осталось сделать?...
ImHappy102
28.05.2020
ть будь ласка з першими двома завданями,дякую...
seregamani
29.03.2020
(4-6 1/8*2/7):1 5/22-9 5/6 Нужен ответ с решением....
Groza11
20.09.2021
Докажите что число пи больше...
MOGZ ответил
Переведите В. Comprehension Check. Complete the sentences. 1. Scotland...
Күннің негізгі сипаттамасы...
Тонкие во к повести Тополек мой в красной косынке 1)что вы узнали об...
Смешали 14 кг сушеных яблок и 6 кг сушеных слив. Сколько процентов...
Чи лежать точки а в с на одній прямій якщо а(1 1 -3) в (-1 3 5) с (0...
Складіть яку-небудь систему рівнянь, що мае розв язок (3; -1)...
сократите алгебраическую дробь ...
1) И образуется благодаря прямолинейности рас света 2) При освещении...
Зважуванням утановили масу п яти ящиків з помідорами: 17,6кг; 16,9кг;...
Опишите процесс всасывания веществ в кишечнике...
Полный доступ к MOGZ
Живи умнее Безлимитный доступ к MOGZ
Оформи подписку
О НАС
О нас
Блог
Условия пользования
Авторское право
Политика конфиденциальности
Предпочтения cookie-файлов
ПОМОЩЬ
Зарегистрируйся
Центр помощи
Центр безопасности
App
Вход
Регистрация
Что ты хочешь узнать?
Спроси Mozg
Открыть лучший ответ
×
x₁ = -31, x₂ = 107, x₃ = 50
Пошаговое объяснение:
Решение на фото.