
а)Первый пешеход двигался со скоростью 4 км/ч из первого дома, второй со скоростью 5 км/ч из второго. Через 3 часа они встретились. Найдите расстояние между домами.
б)Первый пешеход двигался со скоростью 4 км/ч из первого дома, второй пешеход двигался с неизвестной скоростью из второго. Расстояние между домами 27 км. Найдите скорость второго пешехода.
в)Первый пешеход двигался с неизвестной скоростью из первого дома, второй пешеход двигался со скоростью 5 км/ч из второго. Расстояние между домами 27 км. Найдите скорость первого пешехода.
г)Первый пешеход двигался со скоростью 4 км/ч из первого дома, второй со скоростью 5 км/ч из второго. Расстояние между домами 27 км. Через какое время пешеходы встретятся двигаясь на встречу друг другу?
Пошаговое объяснение:
1)
7x – 4 = x – 16
7x - x = -16 + 4
6x = -12
x = -12 : 6
x = -2
2)
13 – 5x = 8 – 2x
5x - 2x = 13 - 8
3x = 5
x = 5 : 3
x = 1 2/3
3)
13p – 11 = 8p + 5
13p - 8p = 5 + 11
5p = 16
p = 16 : 5
p = 3,2
4)
71x – 13 = 10 – 29x
71x + 29x = 10 + 13
100x = 23
x = 23 : 100
x = 0,23
5)
31(1 – 3t) + t = 4(t – 14)
31 - 93t + t = 4t - 56
31 - 92t = 4t - 56
4t + 92t = 31 + 56
96t = 87
t = 87 : 96
t = 87/96
6)
2 = (3x – 5) – (7 – 4x)
3x - 5 - 7 + 4x = 2
7x - 12 = 2
7x = 2 + 12
7x = 14
x = 14 : 7
x = 2
Вариант II
1)
8x – 5 = x – 40
8x - x = -40 + 5
7x = -35
x = -35 : 7
x = -5
2)
7t + 24 = t – 3
7t - t = -3 - 24
6t = -27
t = -27 : 6
t = -4,5
3)
3p – 5 = 6 – 7p
3p + 7p = 6 + 5
10p = 11
p = 11 : 10
p = 1,1
4)
831x – 71 = 111x + 1
831x - 111p = 1 + 71
720x = 72
x = 72 : 720
x = 0,1
5)
2(x – 3) – 1 = 5(x +3) – 4
2x - 6 - 1 = 5x + 15 - 4
2x - 7 = 5x + 11
5x - 2x = -7 - 11
3x = -18
x = -18 : 3
x = -6
6)
12 = (7x – 9) – (11 – x)
7x - 9 - 11 + x = 12
8x - 20 = 12
8x = 12 + 20
8x = 32
x = 32 : 8
x = 4
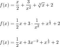
Запишем функцию и немного преобразуем её:
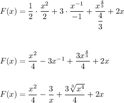
Тогда первообразная для неё будет:
Тогда общий вид первообразных для этой функции: