М
Молодежь
К
Компьютеры-и-электроника
Д
Дом-и-сад
С
Стиль-и-уход-за-собой
П
Праздники-и-традиции
Т
Транспорт
П
Путешествия
С
Семейная-жизнь
Ф
Философия-и-религия
Б
Без категории
М
Мир-работы
Х
Хобби-и-рукоделие
И
Искусство-и-развлечения
В
Взаимоотношения
З
Здоровье
К
Кулинария-и-гостеприимство
Ф
Финансы-и-бизнес
П
Питомцы-и-животные
О
Образование
О
Образование-и-коммуникации
Angelina922
Angelina922
03.09.2020 20:08 •  Математика

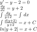
Найти частное решение дифференциального уравнения:
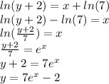
Ү-у-2=0 если у(0)=5​

👇
Ответ:
Даняша09
Даняша09
03.09.2020

y '- y - 2 = 0 \\ \frac{dy}{dx} = y + 2 \\\int\limits \frac{dy}{y + 2} = \int\limits \: dx \\ \int\limits \frac{d(y + 2)}{y + 2} = x + C \\ ln |y + 2| = x + C

общее решение

y(0) = 5

ln(2 + 5) = 0 + C \\ C= ln(7)

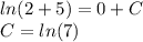
ln(y + 2) = x + ln(7) \\ ln(y + 2) - ln(7) = x \\ ln( \frac{y + 2}{7} ) = x \\ \frac{y + 2}{7} = {e}^{x} \\ y + 2 = 7 {e}^{x} \\ y = 7 {e}^{x} - 2

частное решение

4,8(6 оценок)
Открыть все ответы
Ответ:
Знаю что не по теме мне! я болела тему не понимаю, а мн на завтра это сдавать на оценку. и училке плевать на то что болела я или нет.! а) (- 2,4 - (3,6 - 1,62)= б) 6 8/9 + (- 2 8/9 + 3 4/7)= в) (1 4/5 + 1 5/6) - 2,1 - (5,8-7,9)=номер 2. выражения. а) - (3,2 + m) + 1,2= б) (- k + 5,9) + k= в) (3,8 + x) - (- x + 2,4)=номер 3. найди значение выражений (но сначала их) . а) 5,6 - (4,5 + b), если b= - 2,4 б) 0,4 - (- x + 1,2) + x, если x= - 0,3номер 4. реши уравнение и сделай проверку. - (x + 5) + 2 1/3= - 1 2/3номер 5*. в левой части равенства расставь скобки так, чтобы получилось верное равенство. a + b - a - b - a=2b  буду !
4,6(59 оценок)
Ответ:
Lori04
Lori04
03.09.2020

№ 1:

решите уравнение (x^2−x+1)^2−10(x−4)(x+3)−109=0. в ответе укажите сумму его корней.

(x^2-x+1)^2-10(x-4)(x+3)-109=0

(x^2-x+1)^2-10(x^2-x-12)-109=0

замена x^2-x+1=a

a^2-10(a-13)-109=0

a^2-10a+130-109=0

a^2-10a+21=0

(a-3)(a-7)=0

a=3

a=7

x^2-x+1=3

x^2-x-2=0

d=1+4*2> 0, корни есть

x1+x2=1

x^2-x+1=7

x^2-x-6=0

d=1+4*6> 0, корни есть

x3+x4=1

x1+x2+x3+x4=1+1=2

ответ: 2

 

№ 2:

число a при делении на 7 дает в остатке 2 или 4. в каком из этих случаев будет больше остаток от деления числа a^2 на 7?

первый случай обозначим за х x=7k+2

второй случай обозначим за у y=7k+4

x^2=49k^2+28k+4=7(7k^2+4k)+4 - остаток 4

y^2=49k^2+56k+16=7(7k^2+8k++2)+2 - остаток 2

4> 2, больший остаток найден

ответ: 1 (остаток 2)

№ 3:

два пешехода должны выйти навстречу друг другу из двух пунктов, расстояние между которыми 20 км. если первый выйдет на полчаса раньше второго, то он встретит второго пешехода через 2,5 ч после своего выхода. если второй выйдет на 1 ч раньше первого, то он встретит первого пешехода через 2 ч 40 мин после своего выхода. какова скорость первого пешехода (в км/ч)?

пусть х  скорость первого (ее надо найти), у скорость второго

имеем систему

2.5x+2y=20 // так как первый шел 2,5 часа и вышел на полчаса раньше, то второй шел 2 часа

5x/3+8y/3=20 // так как второй шел 2 ч 40 мин и вышел на часраньше, то первый шел 1 ч 40 мин

 

5x+4y=40

5x+8y=60

 

4y=20

y=5

2.5x+2*5=20

2.5x=10

x=4

ответ: 4

 

№ 4:

трехзначное число больше числа, записанного теми же цифрами, но в обратном порядке, на 495. сумма цифр этого трехзначного числа равна 17, а сумма квадратов его цифр равна 109. найти такое трехзначное число.

это число abc

система:

100a+10b+c=100c+10b+c+495

a+b+c=17

a^2+b^2+c^2=109

 

a=c+5

c+5+b+c=17

(c+5)^2+b^2+c^2=109

 

b+2c=12

c^2+10c+25+b^2+c^2=109

 

b=12-2c

2c^2+10c+b^2-84=0

2c^2+10c+(12-2c)^2-84=0

2c^2+10c+144-48c+4c^2-84=0

6c^2-38c+60=0

3c^2-19c+30=0

d=361-4*3*30=1

c=(19+1)/6=20/6 не натуральное

c=(19-1)/6=3

b=12-2*3=6

a=3+5=8

ответ: 863

№ 5:

при каких значениях параметра b корень уравнения 6−3b+4bx=4b+12x меньше 1?

6-3b+4bx=4b+12x

4bx-12x=4b-6+3b

(4b-12)x=7b-6

x=(7b-6)/(4b-12)

(7b-6)/(4b-12)< 1

(7b-6-4b+12)/(4b-12)< 0

(3b+6)/(4b-12)< 0

(b+2)/(b-3)< 0

промежуток между корнями  (-2; 3)

ответ: (-2; 3)

№ 6:

диагональ равнобедренной трапеции является биссектрисой острого угла, а основания относятся как 1: 2. периметр трапеции равен 90. найдите большую сторону трапеции.

меньшее основание х, большее основание 2х

если острый угол при основании 2а, то его половина, отсеченная биссектрисой а

сумма острого и тупого угла равнобедренной трапеции равна 180 градусов, значит тупой угол (180-2а)

теперь рассматриваем треугольник (со сторонами боковая сторона трапеции, ее меньшее основание и диагональ) с двумя известными углами а и (180-2а), находим третий угол - а - треугольник равнобедренный

боковыми сторонами этого треугольника являются боковая сторона трапеции и ее меньшее основание

значит и боковые стороны трапеции равны х

записываем периметр

х+х+х+2х=90

5х=90

х=18

большая сторона 2х=36

ответ: 36

№ 7:

четырехугольник pqrs вписан в окружность. диагонали pr и qs перпендикулярны и пересекаются в точке m. известно, что ps=13, qm=10, qr=26. найти площадь четырехугольника pqrs.

углы prq и psq опираются на одну и ту же дугу, значит они равны. кроме того диагонали перпендикулярны, значит в частности углы pms и rmq равны

тогда треугольники pms и rmq подобны

k=qr/ps=2

отношение k=qm/pm=2

10/pm=2; pm=5

отношение k=rm/sm=2

находим rm по т. пифагора

rm=корень(qr^2-qm^2)=корень(26^2-10^2)=24

24/sm=2; sm=12

тогда полные диагонали:

qs=qm+sm=10+12=22

pr=pm+rm=5+24=29

площадь четырехугольника равна их диагоналей на синус угла между ними

s=(1/2)*22*29*sin90=319

ответ: 319

4,4(85 оценок)
Новые ответы от MOGZ: Математика
logo
Вход Регистрация
Что ты хочешь узнать?
Спроси Mozg
Открыть лучший ответ