М
Молодежь
К
Компьютеры-и-электроника
Д
Дом-и-сад
С
Стиль-и-уход-за-собой
П
Праздники-и-традиции
Т
Транспорт
П
Путешествия
С
Семейная-жизнь
Ф
Философия-и-религия
Б
Без категории
М
Мир-работы
Х
Хобби-и-рукоделие
И
Искусство-и-развлечения
В
Взаимоотношения
З
Здоровье
К
Кулинария-и-гостеприимство
Ф
Финансы-и-бизнес
П
Питомцы-и-животные
О
Образование
О
Образование-и-коммуникации
anya12345678900
anya12345678900
29.02.2020 15:00 •  Математика

(нужен полный ответ с решением) зпранее спс)))


(нужен полный ответ с решением) зпранее спс)))​

👇
Ответ:
angelikamaxowoz4v
angelikamaxowoz4v
29.02.2020

Пошаговое объяснение:

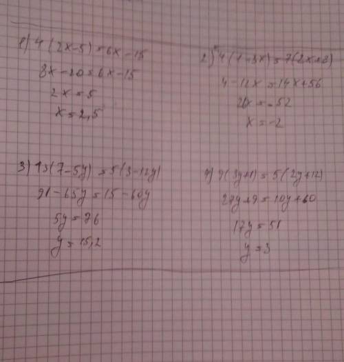
1) 4*(2х-5)=6х-15

8х-20=6х-15

8х-6х=-15+20

2х=5

4,6(66 оценок)
Ответ:
Hicka
Hicka
29.02.2020

ответ прикепил в фото.


(нужен полный ответ с решением) зпранее спс)))​
4,7(56 оценок)
Открыть все ответы
Ответ:
2006n
2006n
29.02.2020
Кышның салкыннарыннан соң мин язны сагынып көтеп алам. яз − табигатьнең кышкы йокыдан уяну вакыты. бүген язның беренче генә көне. аның әле кыштан әллә ни аермасы юк. салкын. бураннар да уйный. ләкин мин боларны язның кыш белән тартышуы дип уйлыйм. кояш барыбер үзенекен итә, җылыта. түбәләргә боз сөңгеләре дә элеп куя. кояш җылырак карау белән, боз сөңгеләреннән туктаусыз тамчылар сикерә башлый. алар кояш нурларында энҗе кебек ялтырыйлар. түбә калайларыннан пар күтәрелә. чыпчыклар һәм песнәкләр дә күңеллерәк чыркылдаша. көннәр дә озыная бара. яз кояшы елмаеп карау белән, бөтен табигать кышкы йокысыннан уяна башлый. кояш , ул өй түбәләрендәге карларны эретә. карлар эри башлагач, җылы яклардан кошлар да кайта башлар. язгы җылы җил агачтагы яшь бөреләрне уятыр. тиздән алар хуш исле яшел яфраклар ярырлар. кояш эссе нурларын көннән-көн күбрәк сибәр. җирдән җырлый-җырлый гөрләвекләр челтерәп агар. бозлар кузгалыр. кырларда беренче умырзая баш калкытыр. кешеләр язгы эшләргә керешерләр. язның да эше күп: иңе-буе күренмәгән кырларны кардан әрчисе, ямь-яшел уҗым басуларын ачасы бар. кырларда тиздән тракторлар гөрләр − язгы кыр эшләре башланыр. язның әле дымлы җирне үләннәр һәм аллы-гөлле чәчәкләр белән бизисе бар. ә бүген әле март башы гына. төннәрен салкын булса да, көндезен инде кояш . туган җиребезгә яз килә, яз исе аңкый. яз − матур, шатлыкларга бай, күңелле вакыт. түрдән уз, яз!
4,8(29 оценок)
Ответ:
samwwww
samwwww
29.02.2020
1) Первое упражнение «Повороты головой» . 
Руки на поясе. На счёт раз поворачиваем голову влево, два - направо, три – вверх, четыре - вниз. 
(Выполнить 5-7 раз) 

2) Следующее упражнение «Вращение рук» . 
Руки положили на плечи. На счёт раз, два – вращаем вперёд, на счёт три – четыре назад. 
(Выполнить 5-7 раз) 

3) Третье упражнение «Вращение кистей» . 
Руки в сторону. На счёт раз, два вращаем кисти вперёд, на три, четыре – назад. 
(Выполнить 5-7 раз) 

4) Следующее упражнение «Повороты туловища влево, вправо» . 
Руки на поясе. На счёт раз поворот вправо, на счёт два - влево, на счёт три - вправо, на счёт четыре - влево. 
(Выполнить 5-7 раз) 

5) Упражнение «Подтягивание колена» . 
На счёт раз правую ногу, согнутую в колене подтягиваем к груди, на счёт два опускаем, на счёт три поднимаем согнутую в колене левую ногу на счёт четыре – опускаем. 
(Выполнить 5-7 раз) 

6) Ходьба на пяточках, мысочках, на внешней и внутренней стороне стопы переменно. Руки на поясе

(Вы можете считать это как за нарушения, ведь я скопировала это у человека из мейл)
4,8(28 оценок)
Это интересно:
Новые ответы от MOGZ: Математика
logo
Вход Регистрация
Что ты хочешь узнать?
Спроси Mozg
Открыть лучший ответ