М
Молодежь
К
Компьютеры-и-электроника
Д
Дом-и-сад
С
Стиль-и-уход-за-собой
П
Праздники-и-традиции
Т
Транспорт
П
Путешествия
С
Семейная-жизнь
Ф
Философия-и-религия
Б
Без категории
М
Мир-работы
Х
Хобби-и-рукоделие
И
Искусство-и-развлечения
В
Взаимоотношения
З
Здоровье
К
Кулинария-и-гостеприимство
Ф
Финансы-и-бизнес
П
Питомцы-и-животные
О
Образование
О
Образование-и-коммуникации
ИЛЬЯ2161
ИЛЬЯ2161
20.03.2022 17:48 •  Математика

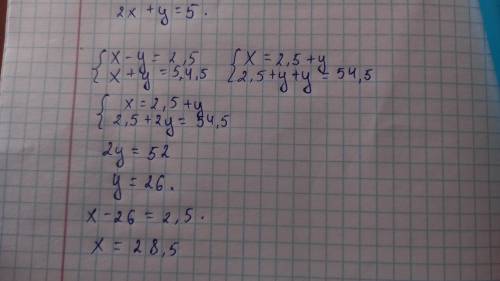
Різниця двох чисел дорівнює 2.5 знайдіть ці числа якщо їх сума дорівнює 54.5

👇
Ответ:
stefaniiadr
stefaniiadr
20.03.2022

Пошаговое объяснение:


Різниця двох чисел дорівнює 2.5 знайдіть ці числа якщо їх сума дорівнює 54.5
4,5(2 оценок)
Открыть все ответы
Ответ:
vovkatop228
vovkatop228
20.03.2022

cos a=3/5

5^2 = 3^2 + x^2

x=4

sin a=4/5

tg a=4/3

ctg a=3/4

Пошаговое объяснение:

косинус =3/5, значит угол лежит либо в I либо в IV четверти

в первом случае

sin x=\sqrt{1-cos^2 a}=\sqrt{1-(\frac{3}{5})^2}=\frac{4}{5}

tg x=\frac{sin x}{cos x}=\frac{\frac{4}{5}}{\frac{3}{5}}=\frac{4}{3}

ctg x=\frac{1}{tg x}=\frac{1}{\frac{4}{3}}=\frac{3}{4}

 

во втором случае

sin x=-\sqrt{1-cos^2 a}=-\sqrt{1-(\frac{3}{5})^2}=-\frac{4}{5}

tg x=\frac{sin x}{cos x}=\frac{-\frac{4}{5}}{\frac{3}{5}}=-\frac{4}{3}

ctg x=\frac{1}{tg x}=\frac{1}{-\frac{4}{3}}=-\frac{3}{4}

4,4(94 оценок)
Ответ:
fyjdtjjhtjh
fyjdtjjhtjh
20.03.2022

Пошаговое объяснение:

Количество вещества азота составляет: n(N2)=V(N2)/Vm=0.448/22.4=0.02 моль, а количество вещества атомического азота составит: n(N)=2*n(N2)=0.04 моль. Тогда вес азота в соединении: m(N)=n(N)*M(N)=0.04*14=0.56 г.

Количество вещества воды составит: n(H2O)=m(H2O)/M(H2O)=2.52/18=0.14 моль. Количество вещества атомического водорода составит: n(H)=2*n(H2O)=0.28 моль. Тогда вес атомического водорода составит: m(H)=n(H)*M(H)=0.28*1=0.28 г.

Тогда на углерод приходится вес: m(C)=1.8-m(H)-m(N)=1.8-0.28-0.56=0.96 г. Тогда количество вещества углерода составит: n(C)=m(C)/M(C)=0.96/12=0.08 моль.

Находим соотношения:

n(C):n(H):n(N)=0.08:0.28:0.04=2:7:1, формула: С2H7N. Так как вещество не м. б. получено восстановлением нитросоединения, то это - вторичный амин - диметиламин: (СН3)2NH.

4,8(10 оценок)
Это интересно:
Новые ответы от MOGZ: Математика
logo
Вход Регистрация
Что ты хочешь узнать?
Спроси Mozg
Открыть лучший ответ